Fig. 6

Download original image
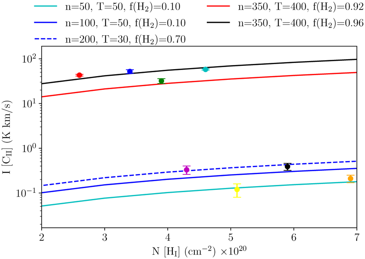
[C ii] integrated intensity versus H i column density. Colored lines show the expected [C ii] intensity assuming that both H i and H2 contribute to the ionization of carbon (see Eq. (6)) with varying temperature, gas density, and molecular fractional abundance. Colored points correspond to the colored-star LOSs shown with the same color in Fig. 2.
Current usage metrics show cumulative count of Article Views (full-text article views including HTML views, PDF and ePub downloads, according to the available data) and Abstracts Views on Vision4Press platform.
Data correspond to usage on the plateform after 2015. The current usage metrics is available 48-96 hours after online publication and is updated daily on week days.
Initial download of the metrics may take a while.