Fig. 1.

Download original image
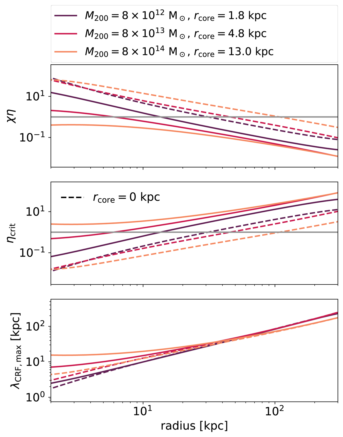
Radial profile of χη (top panel), ηcrit, the minimum η required for the strong diffusion regime (middle panel), and the maximum λCRF (bottom panel) for the galaxy clusters of different masses in hydrostatic equilibrium. Different colours stand for different halo masses as indicated in the top inset, either with a cored (solid lines) or with a non-cored profile (dashed lines). Grey horizontal lines demarcate the two regimes in χ (top panel) and gas that are CR-pressure dominated vs thermal pressure dominated (middle panel). ηcrit, the minimum value required for χ < 1 increases with radius. By contrast, CR pressure profiles are expected to decrease with radius. It is therefore unlikely that χ < 1 at large radii, which means that CRs are unable to stabilise small-scale instabilities outside the cluster core.
Current usage metrics show cumulative count of Article Views (full-text article views including HTML views, PDF and ePub downloads, according to the available data) and Abstracts Views on Vision4Press platform.
Data correspond to usage on the plateform after 2015. The current usage metrics is available 48-96 hours after online publication and is updated daily on week days.
Initial download of the metrics may take a while.