Fig. 12.

Download original image
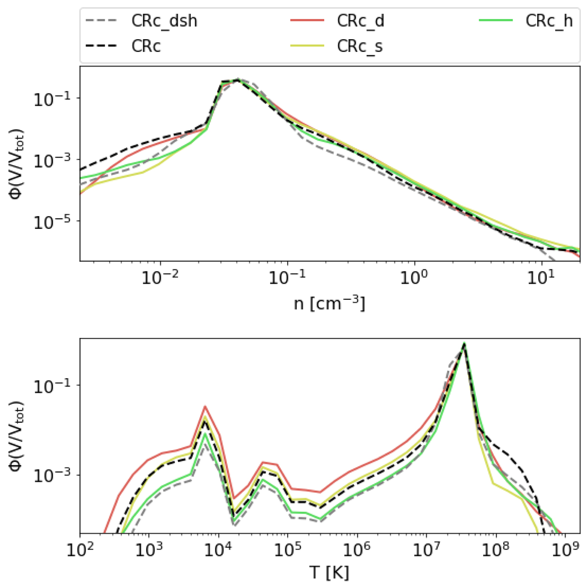
Volume-weighted probability distribution Φ(V/Vtot) of the number density and temperature within the central 60 kpc of the cluster. Each line shows a stacked sample, measured at 0.25 Myr intervals throughout the simulation. While no CR transport mechanism influences the distribution of densities in the cluster centre, CR heating is required to reproduce the temperature distribution of the full-physics simulation.
Current usage metrics show cumulative count of Article Views (full-text article views including HTML views, PDF and ePub downloads, according to the available data) and Abstracts Views on Vision4Press platform.
Data correspond to usage on the plateform after 2015. The current usage metrics is available 48-96 hours after online publication and is updated daily on week days.
Initial download of the metrics may take a while.