Free Access

Fig. 9.

image

Download original image

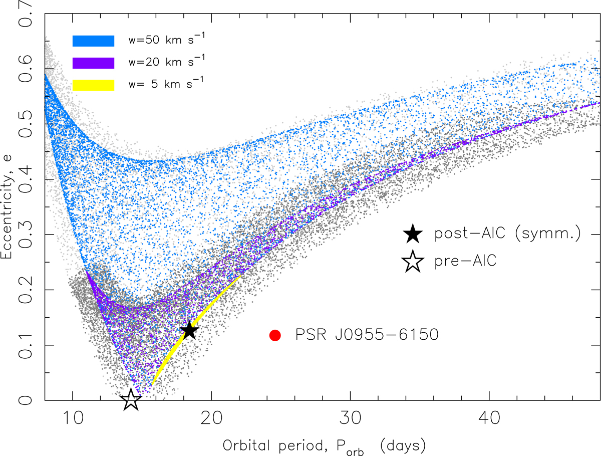
Distribution in the (Pb,  e)-plane of eMSPs simulated via the RD-AIC scenario. The red circle represents PSR J0955−6150. The black solid star is the result of a symmetric (w = 0) AIC from a 1.96 M super-Chandrasekhar WD with a pre-AIC orbital period, Pb, 0 = 14.2 d (open star), and a He WD companion star of mass Mc = 0.254 M. The V-shaped coloured distributions are for the same system but applying a kick of w = 5, 20, and 50 km s−1, respectively, in a random (isotropic) direction. The grey and light grey superimposed distributions are the outcomes of simulations with more relaxed assumptions on the input physics parameters (see text). The RD-AIC scenario fails to explain PSR J0955−6150.

Current usage metrics show cumulative count of Article Views (full-text article views including HTML views, PDF and ePub downloads, according to the available data) and Abstracts Views on Vision4Press platform.

Data correspond to usage on the plateform after 2015. The current usage metrics is available 48-96 hours after online publication and is updated daily on week days.

Initial download of the metrics may take a while.