Open Access

Fig. 3

image

Download original image

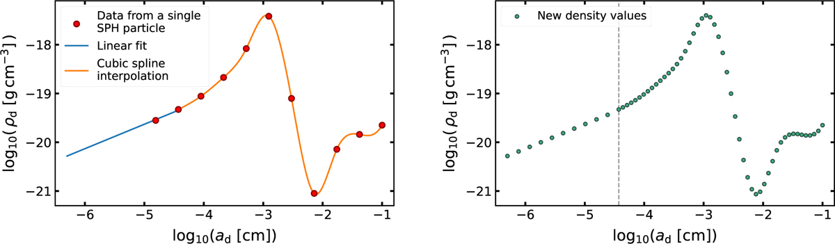
Refinement of the hydrodynamical model for the radiative transfer simulation via the extrapolation and interpolation of the dust densities for a single SPH particle. In the left panel, starting from dust density values obtained with SPH simulations (red dots), we perform a linear fit for log ρd values associated with the two smallest simulated grain sizes to obtain densities for grains down to 5 nm (blue line). Then, we use a cubic spline interpolation on the remaining log ρd values (orange line). In the right panel, with the linear fit, we obtain ten dust densities related to grain sizes between 5 nm and 0.37 µm (to the left of the vertical dashed gray line), while with the cubic spline interpolation we obtain 50 densities for grain sizes between 0.37 µm and 1 mm (to the right of the vertical dashed gray line).

Current usage metrics show cumulative count of Article Views (full-text article views including HTML views, PDF and ePub downloads, according to the available data) and Abstracts Views on Vision4Press platform.

Data correspond to usage on the plateform after 2015. The current usage metrics is available 48-96 hours after online publication and is updated daily on week days.

Initial download of the metrics may take a while.