Fig. 6.

Download original image
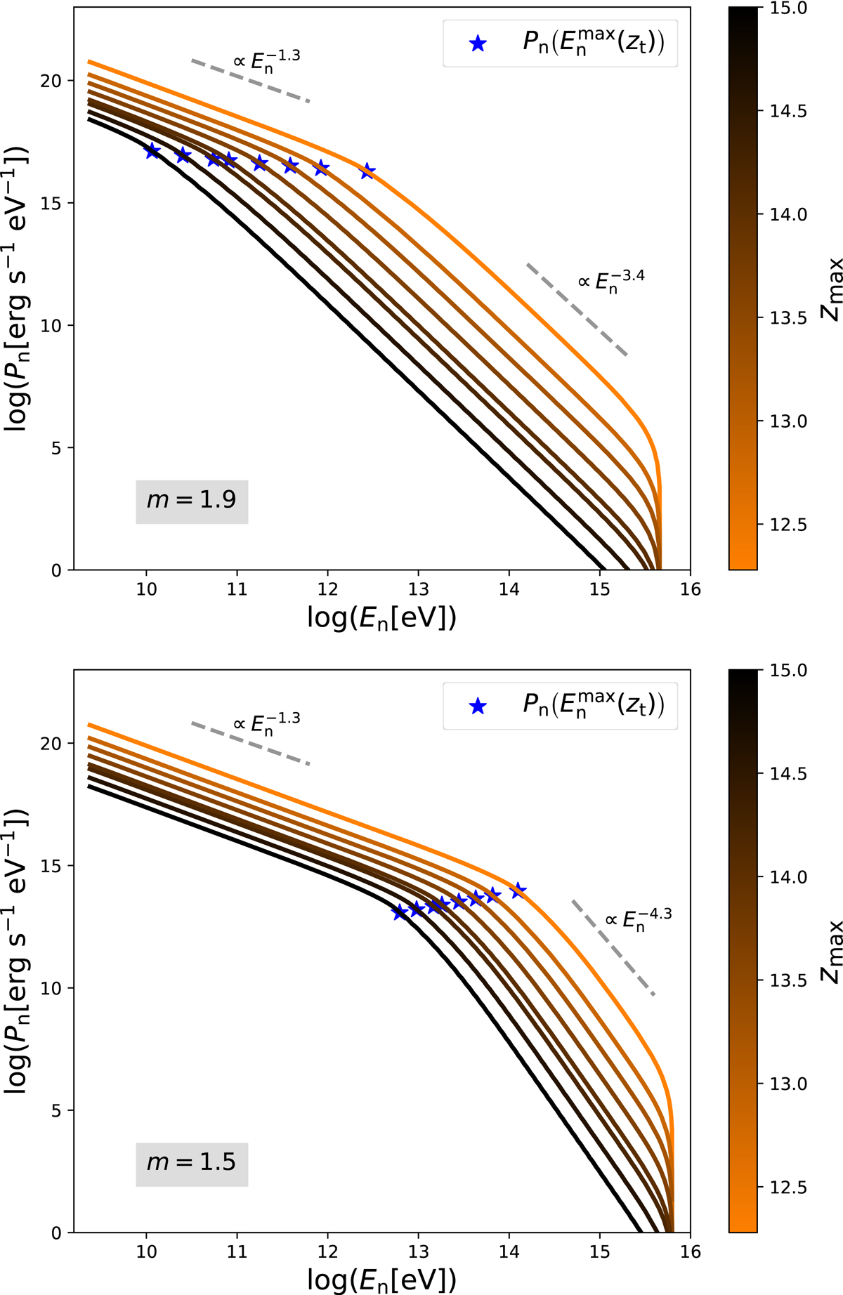
Integrated neutron power spectra in the jet frame, for different values of the top of the acceleration (and in this case also emission) region, zt = zmax. Blue stars indicate the value of Pn evaluated at the maximum neutron energy at zt = zmax, i.e. the minimum value of along the jet for each model (cf. Fig. 5). In all the cases Emin = 5mc2. The top (bottom) panel corresponds to a magnetic index m = 1.9 (1.5). The remaining parameters are those of Table 1.
Current usage metrics show cumulative count of Article Views (full-text article views including HTML views, PDF and ePub downloads, according to the available data) and Abstracts Views on Vision4Press platform.
Data correspond to usage on the plateform after 2015. The current usage metrics is available 48-96 hours after online publication and is updated daily on week days.
Initial download of the metrics may take a while.