Open Access
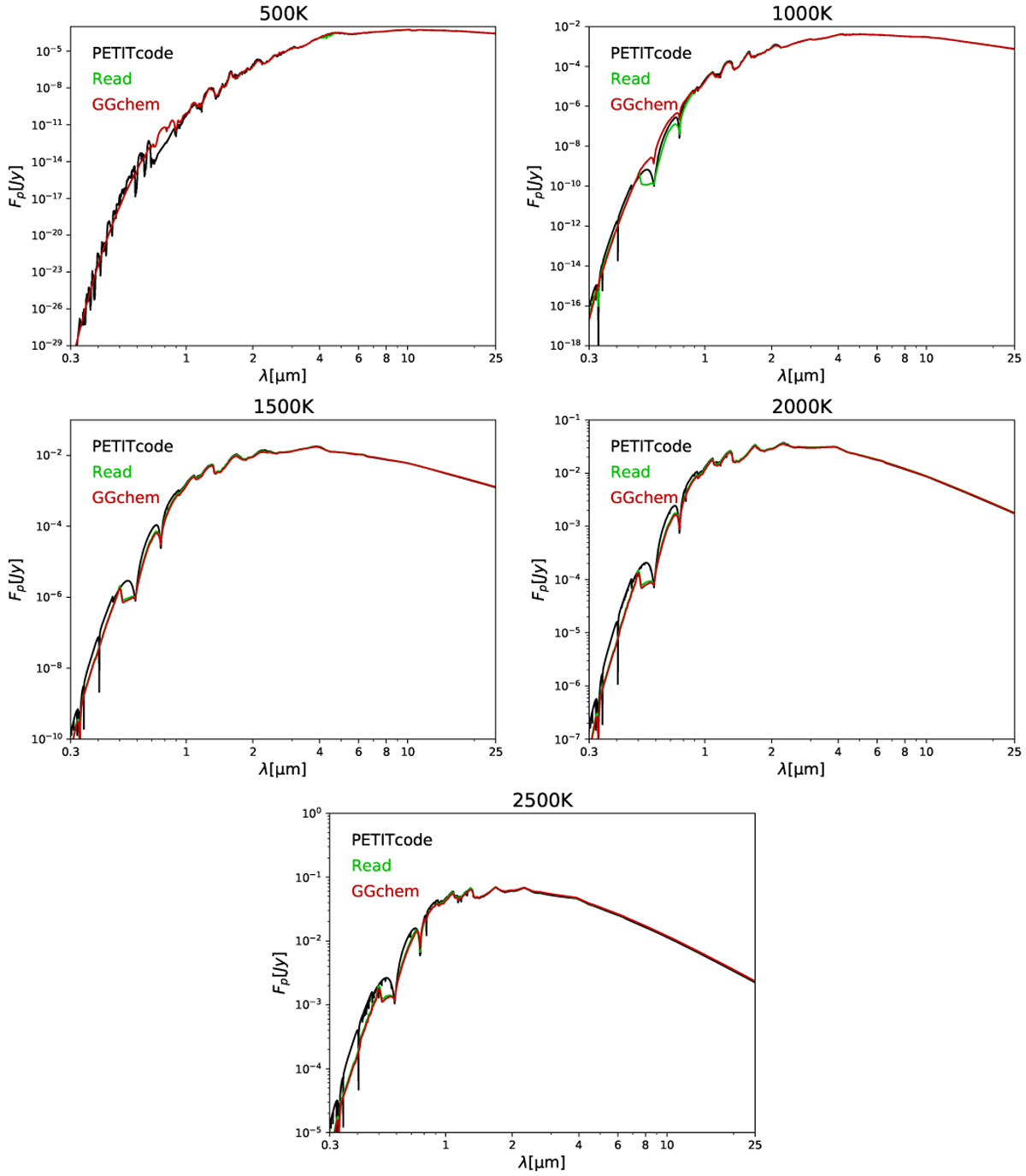
Fig. B.1

Download original image
Comparison of the emission spectra of the benchmark planets with fixed pressure temperature structures and different effective temperatures. Shown are the spectra from PETITcode (black), ARCiS reading the precomputed molecular opacities (green), and ARCiS when molecular opacities are computed using GGchem (red).
Current usage metrics show cumulative count of Article Views (full-text article views including HTML views, PDF and ePub downloads, according to the available data) and Abstracts Views on Vision4Press platform.
Data correspond to usage on the plateform after 2015. The current usage metrics is available 48-96 hours after online publication and is updated daily on week days.
Initial download of the metrics may take a while.