Open Access

This article has an erratum: [https://doi.org/10.1051/0004-6361/202243074e]


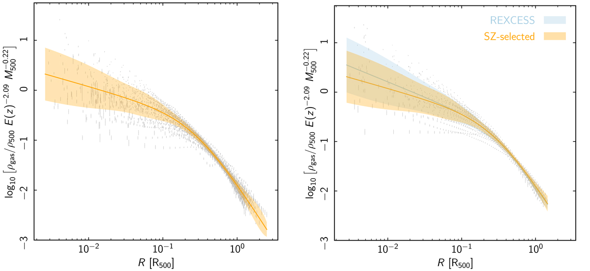
Fig. 4.

image

Download original image

The universal cluster ICM density profile. Left: scaled density profiles of the SZE-selected clusters (grey points), overplotted with the best-fitting GNFW model with free evolution and mass dependence: ρgas/ρ500(R/R500)∝E(z)αzMαM with αz = 2.09 ± 0.02 and αM = 0.22 ± 0.01 (orange line). The model includes a radially varying intrinsic scatter term (orange envelope). Right: comparison of the best-fitting model, defined on the SZE-selected sample, to the best-fitting model for the X-ray-selected REXCESS sample (light blue). Here, the points with error bars are the REXCESS sample.

Current usage metrics show cumulative count of Article Views (full-text article views including HTML views, PDF and ePub downloads, according to the available data) and Abstracts Views on Vision4Press platform.

Data correspond to usage on the plateform after 2015. The current usage metrics is available 48-96 hours after online publication and is updated daily on week days.

Initial download of the metrics may take a while.