Fig. C.1.

Download original image
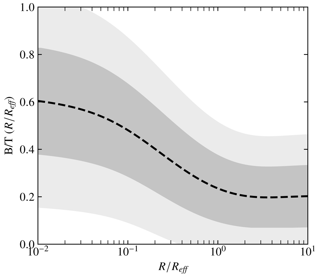
Mean B/T for galaxies in the morphological sample computed at various radii in units of Reff. The areas correspond to the 1σ (dark grey) and 2σ (light grey) dispersions. The bulge component dominates the central parts of the galaxies whereas the disk takes over completely after roughly one effective radius. Even as far as 10Reff, we find a nearly constant non-zero B/T ≈ 0.2 indicative of a non-negligible bulge contribution to the overall flux budget.
Current usage metrics show cumulative count of Article Views (full-text article views including HTML views, PDF and ePub downloads, according to the available data) and Abstracts Views on Vision4Press platform.
Data correspond to usage on the plateform after 2015. The current usage metrics is available 48-96 hours after online publication and is updated daily on week days.
Initial download of the metrics may take a while.