Open Access
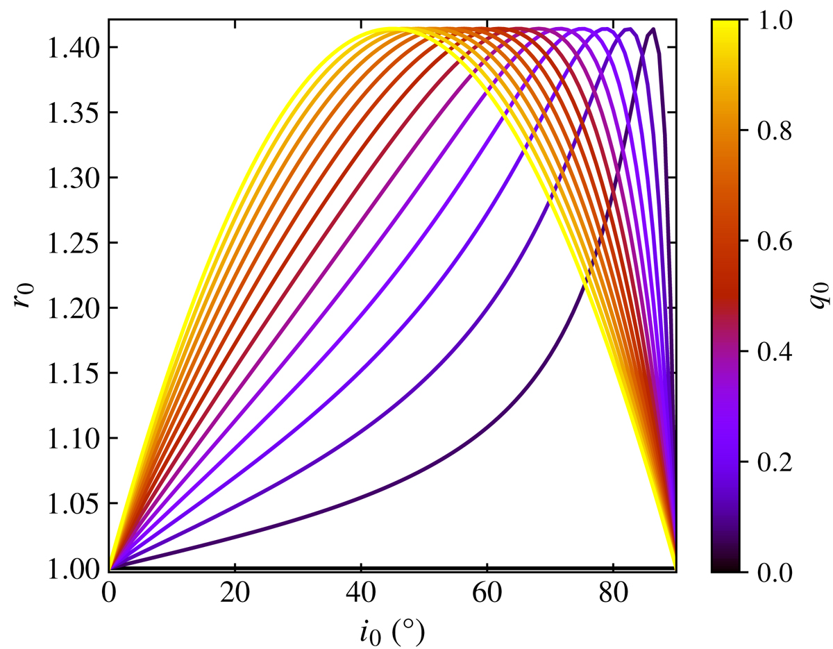
Fig. D.2.

Download original image
Ratio of the central density assuming a double exponential profile with that derived assuming a razor-thin disk exponential fit as a function of the galaxy’s real inclination, i0, and intrinsic axis ratio, q0 = hz/Rd, with Rd the disk scale length. The maximum value is equal to and is reached at i0 = arctan(1/q0).
Current usage metrics show cumulative count of Article Views (full-text article views including HTML views, PDF and ePub downloads, according to the available data) and Abstracts Views on Vision4Press platform.
Data correspond to usage on the plateform after 2015. The current usage metrics is available 48-96 hours after online publication and is updated daily on week days.
Initial download of the metrics may take a while.