Fig. 11.

Download original image
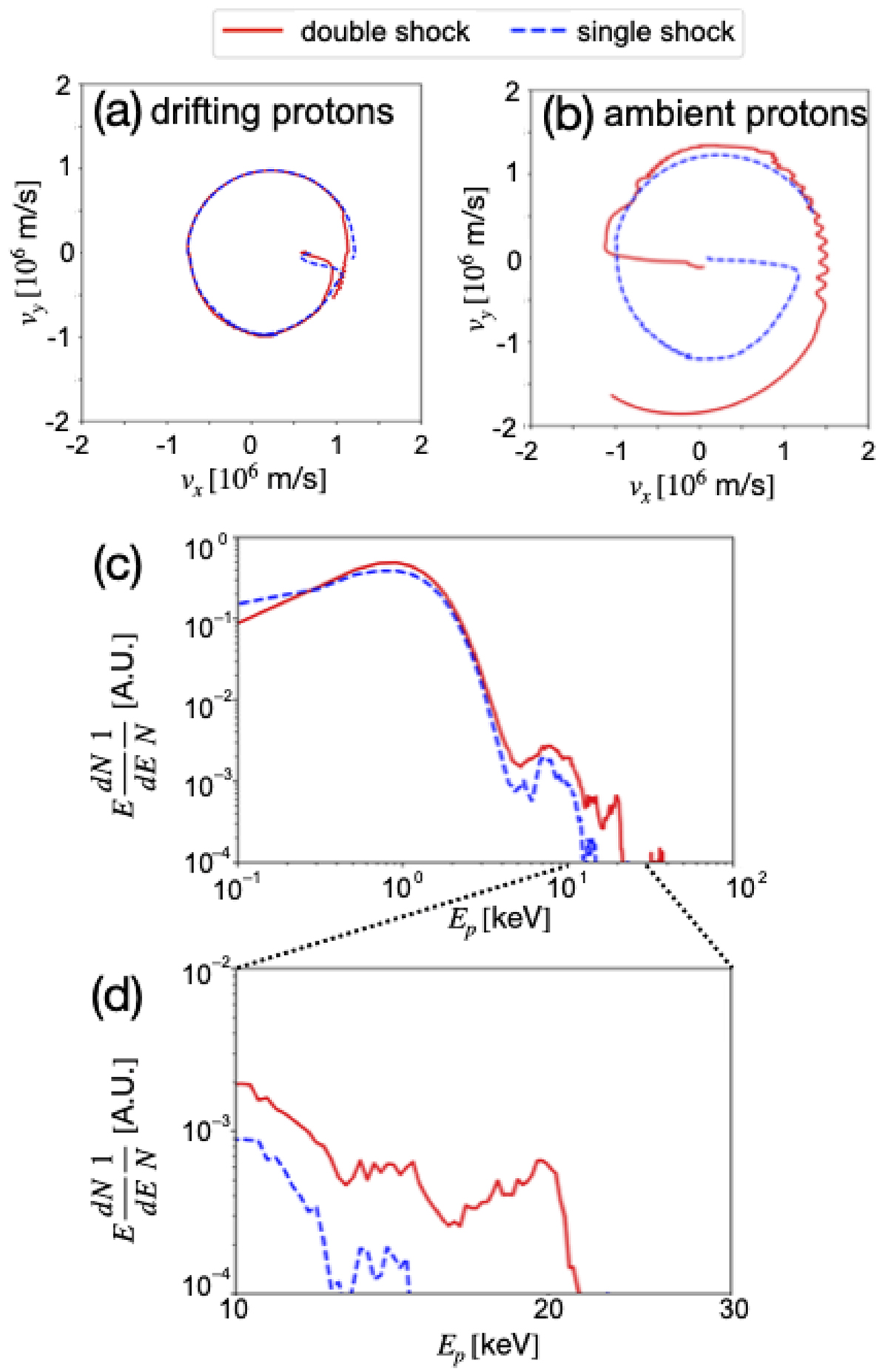
Comparison of the trajectories in the vx − vy space of two typical energetic tracked drifting (a) and ambient (b) protons, for the double shock case in red and for the single shock case in blue. (We note that their initial velocities might be different from the species bulk speed (vx = 350 km s−1), since the protons are initiated with an initial temperature.) (c) Final energy spectra of the ions for the two configurations and (d) zoom on the range from 10 to 30 keV.
Current usage metrics show cumulative count of Article Views (full-text article views including HTML views, PDF and ePub downloads, according to the available data) and Abstracts Views on Vision4Press platform.
Data correspond to usage on the plateform after 2015. The current usage metrics is available 48-96 hours after online publication and is updated daily on week days.
Initial download of the metrics may take a while.