Open Access

Fig. 12.

image

Download original image

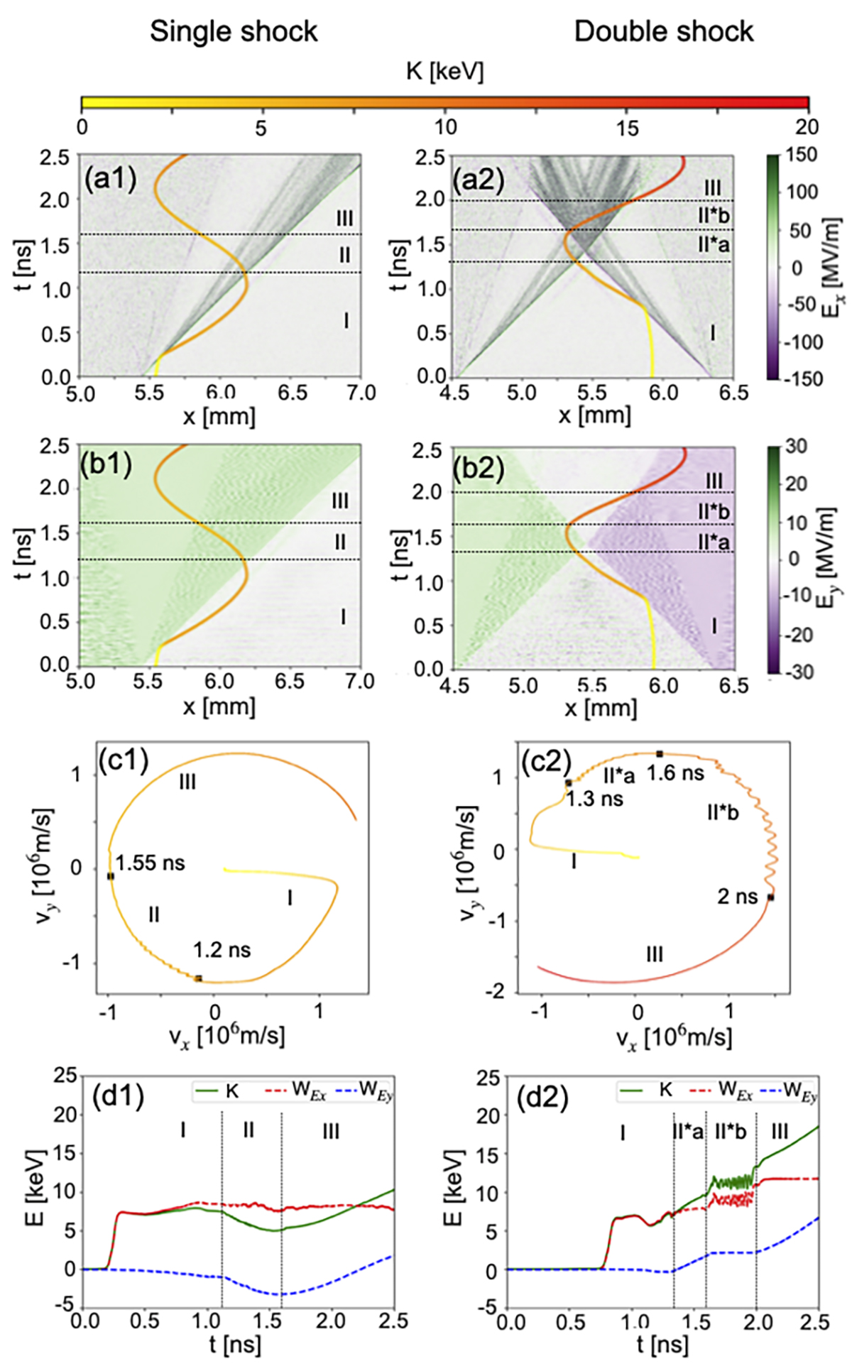
Comparison of the trajectories of two typical energetic protons of the ambient plasma in the single- and double-shock cases in the left column (1) and right column (2), respectively. In their evolution between 0 and 2.5 ns we can distinguish different phases (I, II, II*a, II*b, III), that are detailed in the main text. In (a1–a2) and (b1–b2), the maps of the Ex and of the Ey fields in the x − t space, together with the trajectories of the chosen protons, are shown, respectively. Note the different scales for the electric fields Ex and Ey color maps. In (c1–c2), the proton trajectories in the vx − vy space and the temporal points delimiting the different phases, are plotted. The color of the proton trajectories in (a1–a2), (b1–b2), and (c1–c2) follows the evolution of their kinetic energy K on a color scale from 0 to 20 keV. In (d1–d2), are shown the temporal evolution of the kinetic energies of the two tracked protons (full green line), the work done by Ex (dashed red line) and by Ey (dashed blue line).

Current usage metrics show cumulative count of Article Views (full-text article views including HTML views, PDF and ePub downloads, according to the available data) and Abstracts Views on Vision4Press platform.

Data correspond to usage on the plateform after 2015. The current usage metrics is available 48-96 hours after online publication and is updated daily on week days.

Initial download of the metrics may take a while.