Fig. 1.

Download original image
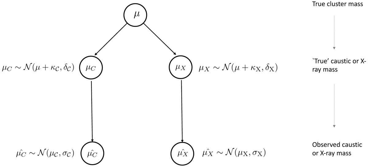
Graphical model summarising the mass modelling framework that we present in Sect. 3.3. The symbols are also described in that section; in summary, the symbol μ represents mass, κ is the bias term, δ is the scatter term and σ is the measurement error term (all in log space), and the C and X subscripts denote whether the quantity refers to that from the hydrostatic or caustic method. The refers to an observed quantity. 𝒩 refers to a normal distribution, and ‘∼’ denotes ‘is distributed as’.
Current usage metrics show cumulative count of Article Views (full-text article views including HTML views, PDF and ePub downloads, according to the available data) and Abstracts Views on Vision4Press platform.
Data correspond to usage on the plateform after 2015. The current usage metrics is available 48-96 hours after online publication and is updated daily on week days.
Initial download of the metrics may take a while.