Open Access
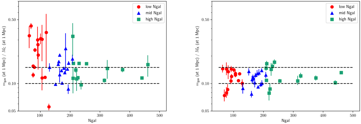
Fig. 6.

Download original image
Left: fgas measured at 1 Mpc using caustic mass in the denominator is plotted against Ngal. Right: same plot, but with fgas calculated with hydrostatic mass in the denominator. In both panels, the black dashed lines indicate fgas = 0.10 and fgas = 0.15 for reference, encompassing the approximate expected range of fgas.
Current usage metrics show cumulative count of Article Views (full-text article views including HTML views, PDF and ePub downloads, according to the available data) and Abstracts Views on Vision4Press platform.
Data correspond to usage on the plateform after 2015. The current usage metrics is available 48-96 hours after online publication and is updated daily on week days.
Initial download of the metrics may take a while.