Open Access
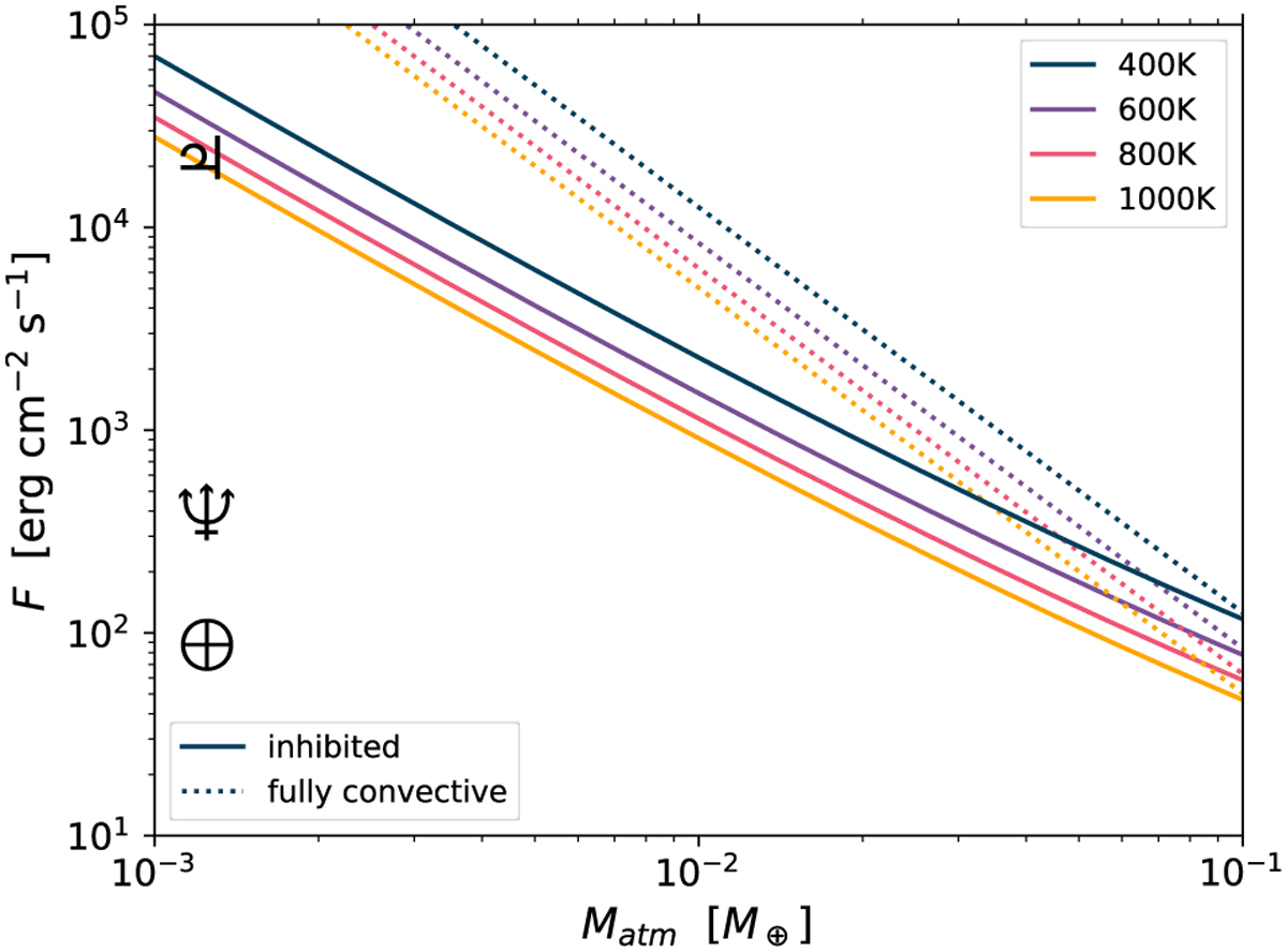
Fig. 6

Download original image
Core-envelope heat flux as a function of envelope mass. Temperatures in the legend correspond to Teq. Symbols on the left of the plot show the contemporary internal heat fluxes of Earth, Neptune, and Jupiter for comparison.
Current usage metrics show cumulative count of Article Views (full-text article views including HTML views, PDF and ePub downloads, according to the available data) and Abstracts Views on Vision4Press platform.
Data correspond to usage on the plateform after 2015. The current usage metrics is available 48-96 hours after online publication and is updated daily on week days.
Initial download of the metrics may take a while.