Fig. 9

Download original image
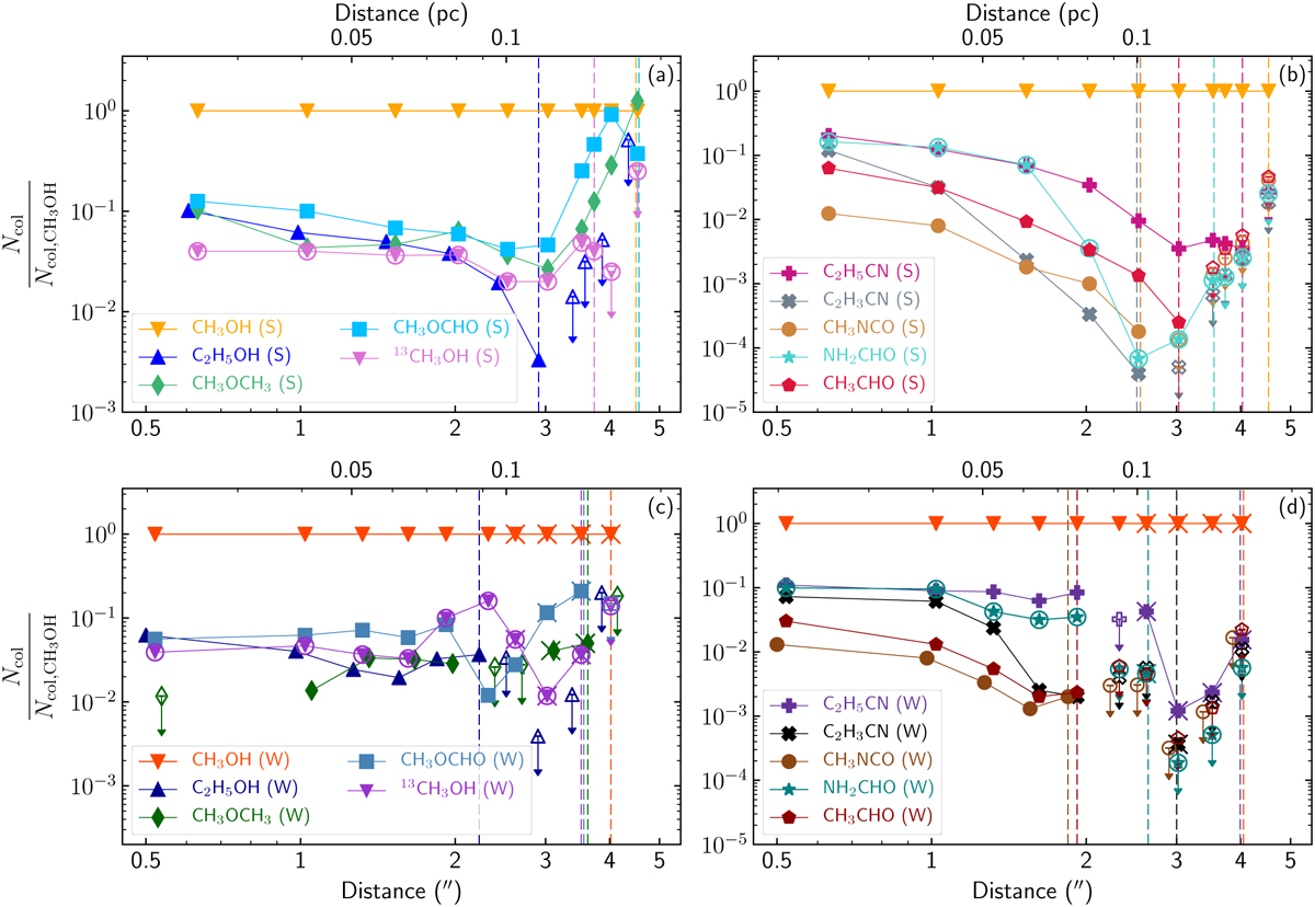
COM abundance profiles with respect to CH3OH to the south (S, a–b) and to the west (W, c–d) based on data from observational setups 1–3 (encircled symbols) and 4–5. Additional crosses on the markers indicate positions for which the velocity offset changed from ≲ 2 to ~7 km s−1. Unfilled symbols with arrows indicate upper limits. Vertical dashed lines mark the distance from Sgr B2 (N1) beyond which the respective COM is no longer detected.
Current usage metrics show cumulative count of Article Views (full-text article views including HTML views, PDF and ePub downloads, according to the available data) and Abstracts Views on Vision4Press platform.
Data correspond to usage on the plateform after 2015. The current usage metrics is available 48-96 hours after online publication and is updated daily on week days.
Initial download of the metrics may take a while.