Open Access

Fig. K.1.

image

Download original image

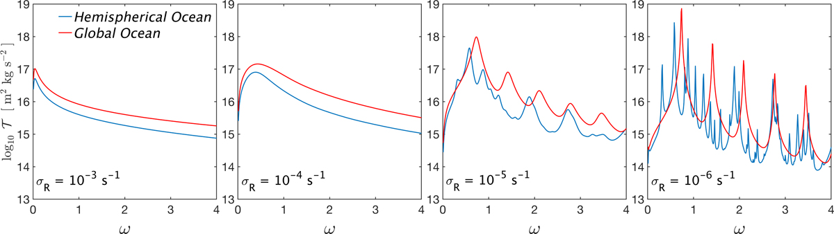
Tidal torque between the Earth and the Moon corresponding to the coupled oceanic-solid response in two configurations: a global oceanic shell of thickness H = 4000 m (shown in red), and a hemispherical ocean with the same thickness, symmetric around the equator and bounded by longitudes λ = 0 and λ = π (in blue). Energy dissipation is quantified by the linear Rayleigh drag frequency σR. The logarithm of the torque is plotted as a function of the normalized frequency ω = (Ω − norb)/Ω0, where the Earth’s spin rate varies with the tidal forcing frequency Ω = norb + σ/2 at fixed norb, and Ω0 being the present spin rate of the Earth.

Current usage metrics show cumulative count of Article Views (full-text article views including HTML views, PDF and ePub downloads, according to the available data) and Abstracts Views on Vision4Press platform.

Data correspond to usage on the plateform after 2015. The current usage metrics is available 48-96 hours after online publication and is updated daily on week days.

Initial download of the metrics may take a while.