Fig. K.2.

Download original image
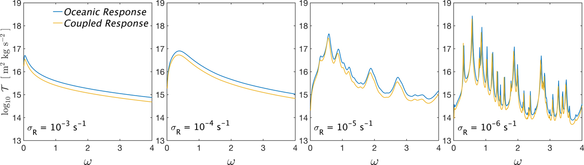
Similar to Fig.K.1, but comparing the torque of the hemispherical ocean model between a pure oceanic response, and the response of the ocean when accounting for loading and self-attraction effects arising from solid Earth deformation assuming an Andrade rheology. The procedure of this coupling for the hemispheric configuration is detailed in Appendix F. We recall that the energy tidally dissipated in the solid part is ignored in the hemispherical configuration.
Current usage metrics show cumulative count of Article Views (full-text article views including HTML views, PDF and ePub downloads, according to the available data) and Abstracts Views on Vision4Press platform.
Data correspond to usage on the plateform after 2015. The current usage metrics is available 48-96 hours after online publication and is updated daily on week days.
Initial download of the metrics may take a while.