Open Access

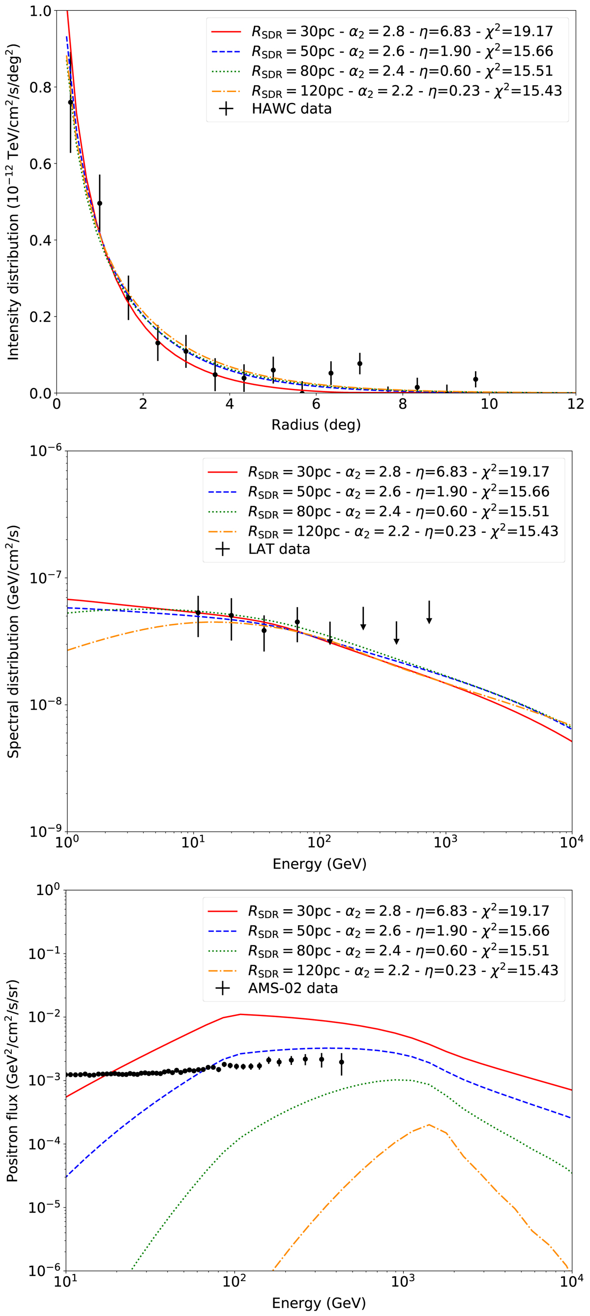
Fig. 1.

image

Download original image

Model fits to HAWC+LAT observations of J0633+1746, and the corresponding predicted local positron fluxes, for different sizes of the suppressed diffusion region RSDR, and different high-energy injection indexes α2. All other parameters have their baseline values, in particular the diffusion coefficient DSDR(100 TeV)=4 × 1027 cm2 s−1. The set of dashed blue curves corresponds to the baseline model setup. The legend indicates the injection efficiency η and the χ2 of the fit.

Current usage metrics show cumulative count of Article Views (full-text article views including HTML views, PDF and ePub downloads, according to the available data) and Abstracts Views on Vision4Press platform.

Data correspond to usage on the plateform after 2015. The current usage metrics is available 48-96 hours after online publication and is updated daily on week days.

Initial download of the metrics may take a while.