Open Access

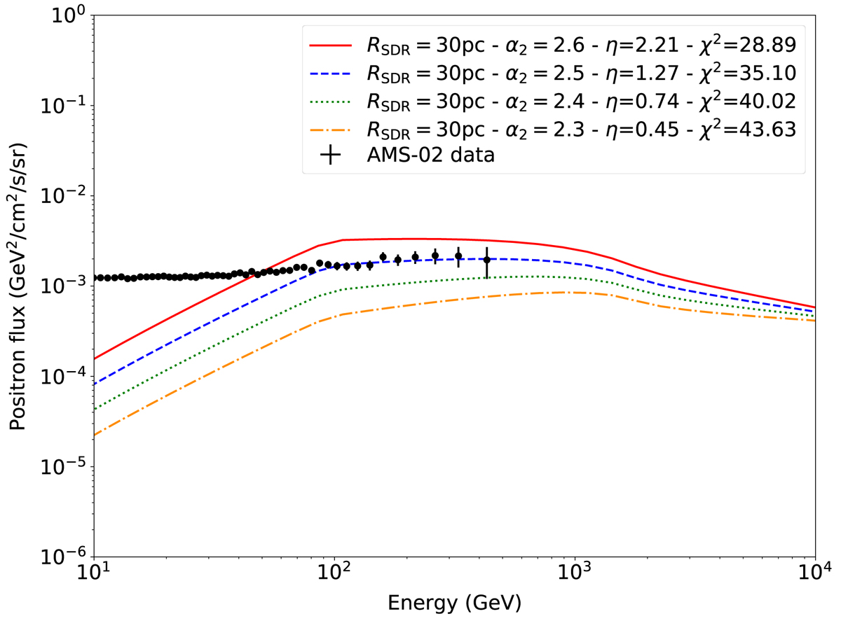
Fig. 8.

image

Download original image

Predicted local positron fluxes for variations in the injection index α2, assuming a suppressed diffusion region extent RSDR = 30 pc. The predicted gamma-ray emission is fitted to HAWC observations of Geminga only and the corresponding injection efficiencies η and χ2 of the fits are given in the legend. The χ2 includes the deviation from the LAT spectral points to illustrate the effect of neglecting that constraint.

Current usage metrics show cumulative count of Article Views (full-text article views including HTML views, PDF and ePub downloads, according to the available data) and Abstracts Views on Vision4Press platform.

Data correspond to usage on the plateform after 2015. The current usage metrics is available 48-96 hours after online publication and is updated daily on week days.

Initial download of the metrics may take a while.