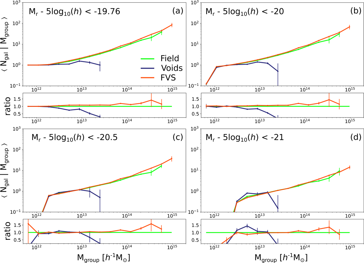
Fig. 4.

Download original image
HOD measured in four different magnitude ranges: Mr − 5log10(h) < − 19.76, −20, −20.5, and −21 in panels a–d, respectively. We show the HOD computed in the field in green, the HOD inside voids in blue, and the HOD in FVSs in red, as indicated in the key. We also show the ratio between the HOD measured in the structures and the HOD in the field at the bottom of each panel. All uncertainties were calculated by the standard jackknife procedure.
Current usage metrics show cumulative count of Article Views (full-text article views including HTML views, PDF and ePub downloads, according to the available data) and Abstracts Views on Vision4Press platform.
Data correspond to usage on the plateform after 2015. The current usage metrics is available 48-96 hours after online publication and is updated daily on week days.
Initial download of the metrics may take a while.