Fig. 5.

Download original image
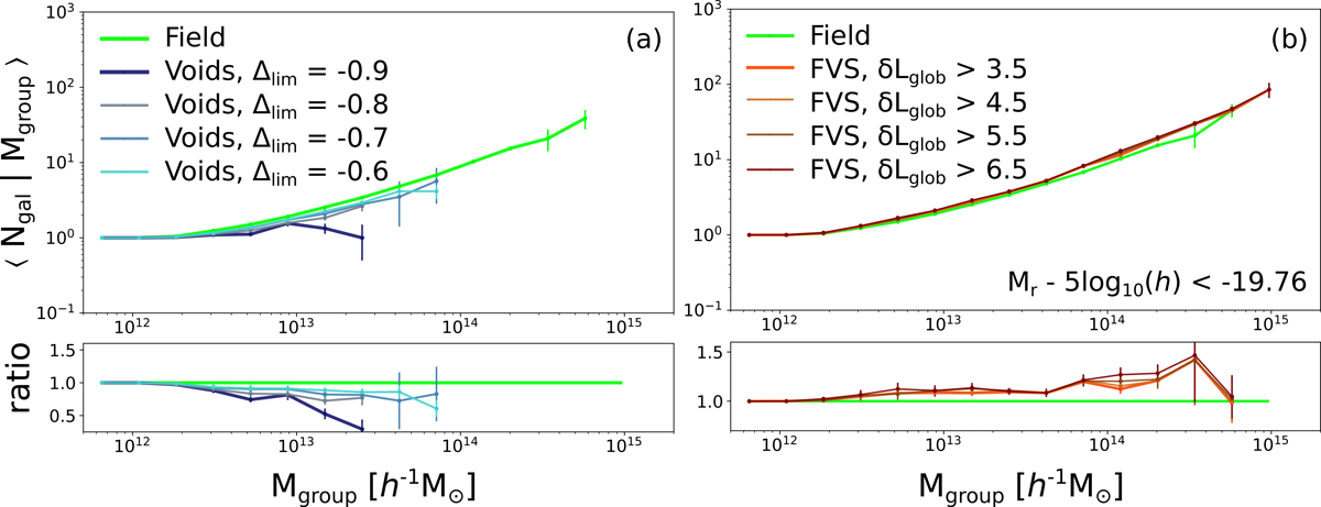
Dependence of the HOD with the identification parameters of voids and FVSs for galaxies with Mr − 5log10(h) < − 19.76. In panel (a), we show the HOD measured in voids identified with a different integrated density contrast threshold, from Δlim = −0.9 in dark blue to Δlim = −0.6 in light blue. In panel (b), we show the HOD measured in FVSs with a different global luminosity threshold, from δLglob > 3.5 in light red to δLglob > 6.5 in dark red. In both cases, the HOD measured in the field is shown with green lines. For a better quantification of the differences, inferior panels show the ratio between the HOD measured in super-structures and the HOD of the field. All the uncertainties were calculated using the standard jackknife procedure.
Current usage metrics show cumulative count of Article Views (full-text article views including HTML views, PDF and ePub downloads, according to the available data) and Abstracts Views on Vision4Press platform.
Data correspond to usage on the plateform after 2015. The current usage metrics is available 48-96 hours after online publication and is updated daily on week days.
Initial download of the metrics may take a while.