Open Access

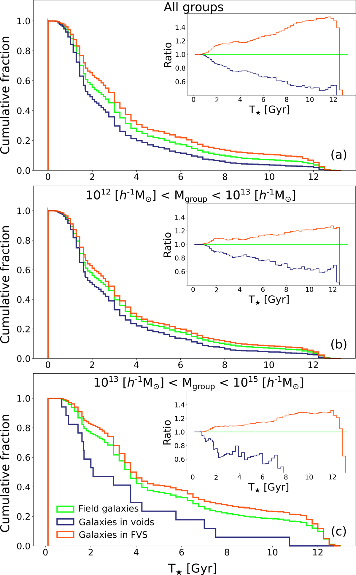
Fig. 8.

image

Download original image

Top: cumulative distribution of the T parameter for field galaxies (green), void galaxies (blue), and FVS galaxies (red). Panel a shows the distributions for the complete galaxy sample, meanwhile panels b and c are for the galaxies residing in groups with 1012h−1M < Mgroup < 1013h−1M and 1013h−1M < Mgroup < 1015h−1M, respectively. Inset panels show the ratio between the cumulative fraction of T for galaxies inside voids and FVSs, in addition to field galaxies.

Current usage metrics show cumulative count of Article Views (full-text article views including HTML views, PDF and ePub downloads, according to the available data) and Abstracts Views on Vision4Press platform.

Data correspond to usage on the plateform after 2015. The current usage metrics is available 48-96 hours after online publication and is updated daily on week days.

Initial download of the metrics may take a while.