Press Release
Open Access

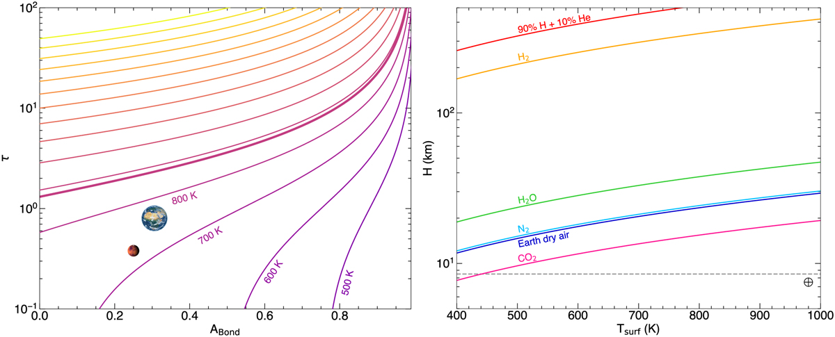
Fig. 14

image

Download original image

Basic atmospheric parameters of Gl 486 b. Left: Surface temperature as a function of Bond albedo and atmospheric optical thickness, from 500 K to 2000 K in steps of 100 K. The coolest isotherms are labelled. The isotherm of 880 K, at which silicon-based surfaces melt, is drawn with a thick line. The Earth and Mars are indicated as a reference (but their Tsurf do not correspond to those of Gl 486 b because of different L* and a; see Eq. (10)). Venus, with τ ≈ 160, is out of limits. Left: Scale height as a function of surface temperature and mean molecular mass for different atmospheric compositions. From top to bottom: 90% H + 10% He (1.31 u, red), H2 (2.02 u, orange), H2O (18.0 u, green), N2 (28.0 u, cyan), Earth dry air (29.0 u, blue), CO2 (44.0 u, magenta). The dashed horizontal line indicates the Earth scale height (Hφ = 8.5 km), while the grey shaded area marks the surface temperature for rock volatilisation (Tsurf ≳ 880 K).

Current usage metrics show cumulative count of Article Views (full-text article views including HTML views, PDF and ePub downloads, according to the available data) and Abstracts Views on Vision4Press platform.

Data correspond to usage on the plateform after 2015. The current usage metrics is available 48-96 hours after online publication and is updated daily on week days.

Initial download of the metrics may take a while.