Open Access
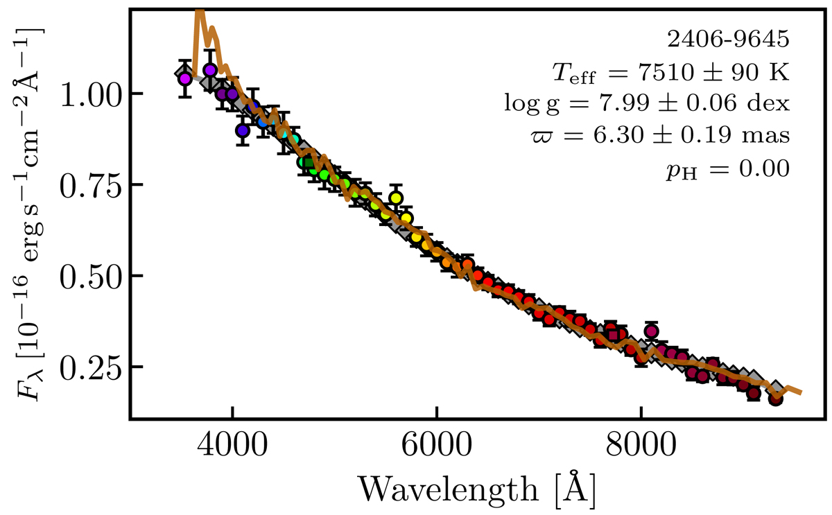
Fig. 4.

Download original image
Photo-spectrum of the miniJPAS source 2406–9645 (DC). Symbols are the same as in Fig. 2. The flux scale of the SDSS spectrum has an additional factor (λ/λ0)0.3 applied, with λ0 = 6254 Å.
Current usage metrics show cumulative count of Article Views (full-text article views including HTML views, PDF and ePub downloads, according to the available data) and Abstracts Views on Vision4Press platform.
Data correspond to usage on the plateform after 2015. The current usage metrics is available 48-96 hours after online publication and is updated daily on week days.
Initial download of the metrics may take a while.