Fig. 3.

Download original image
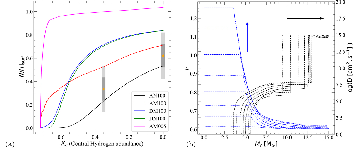
Impact of MRI on chemical transport during the MS. Left panel: evolution of the ratio between the surface nitrogen abundance and surface hydrogen abundance, [N/H]surf, as defined in Eq. (32) for selected models (see plot legends) as a function of the central hydrogen abundance, Xc. The yellow diamonds are the mean of the observed surface values found in Fig. 11 of Ekström et al. (2012), who compute models with rotation. The grey boxes encompass observed values of [N/H] for stars at the middle and end of the MS band, which are also from Fig. 11 of Ekström et al. (2012). The light grey bars extend the values of Ekström et al. (2012) to account for the large errors of the enrichment of individual stars with respect to the averaged values. Right panel: evolution of the mean molecular weight (in blue) and of D = Dshear + Dmag, O (in black) for model AM100 as a function of the Lagrangian mass coordinate, Mr, during the MS. The curves shown with different line styles are for Xc = 0.7, 0.6, 0.5, 0.4, 0.3, 0.2, 0.1, 0.04, where the arrows, blue and black respectively, show the direction of evolution going from Xc = 0.7 to Xc = 0.04, increasing μ and restricting the region with large values of D towards larger mass coordinates with decreasing values of Xc (equivalently, increasing time).
Current usage metrics show cumulative count of Article Views (full-text article views including HTML views, PDF and ePub downloads, according to the available data) and Abstracts Views on Vision4Press platform.
Data correspond to usage on the plateform after 2015. The current usage metrics is available 48-96 hours after online publication and is updated daily on week days.
Initial download of the metrics may take a while.