Fig. 11

Download original image
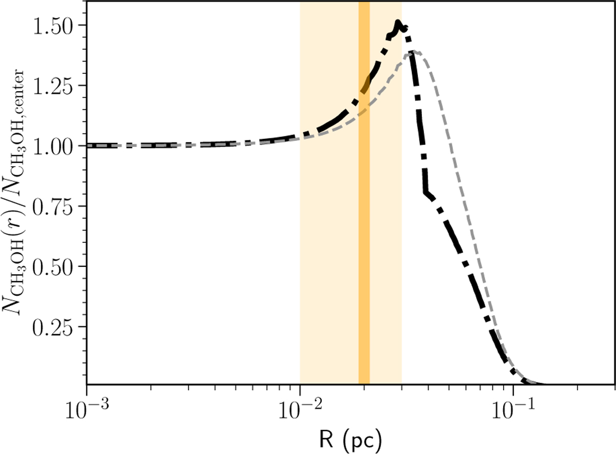
Comparison between the radial profile of the CH3OH column density, , normalized by central value,
, from the best-fit model with original radial density profiles (model A, dashed gray line) and modified radial density profiles (model B, dash-dotted black line). The orange shaded region and vertical line have the same definitions as in Fig. 6.
Current usage metrics show cumulative count of Article Views (full-text article views including HTML views, PDF and ePub downloads, according to the available data) and Abstracts Views on Vision4Press platform.
Data correspond to usage on the plateform after 2015. The current usage metrics is available 48-96 hours after online publication and is updated daily on week days.
Initial download of the metrics may take a while.