Fig. B.1.

Download original image
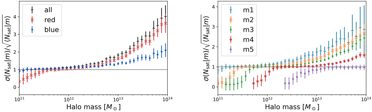
Ratio of the standard deviation of the galaxy satellite number per halo and the Poisson variance. For Poissonian satellites this ratio is unity. Left: Ratio for all simulated galaxies (black crosses), red simulated galaxies (red crosses), and blue simulated galaxies (blue dots). Right: Ratio for stellar mass-selected samples.
Current usage metrics show cumulative count of Article Views (full-text article views including HTML views, PDF and ePub downloads, according to the available data) and Abstracts Views on Vision4Press platform.
Data correspond to usage on the plateform after 2015. The current usage metrics is available 48-96 hours after online publication and is updated daily on week days.
Initial download of the metrics may take a while.