Fig. 7.

Download original image
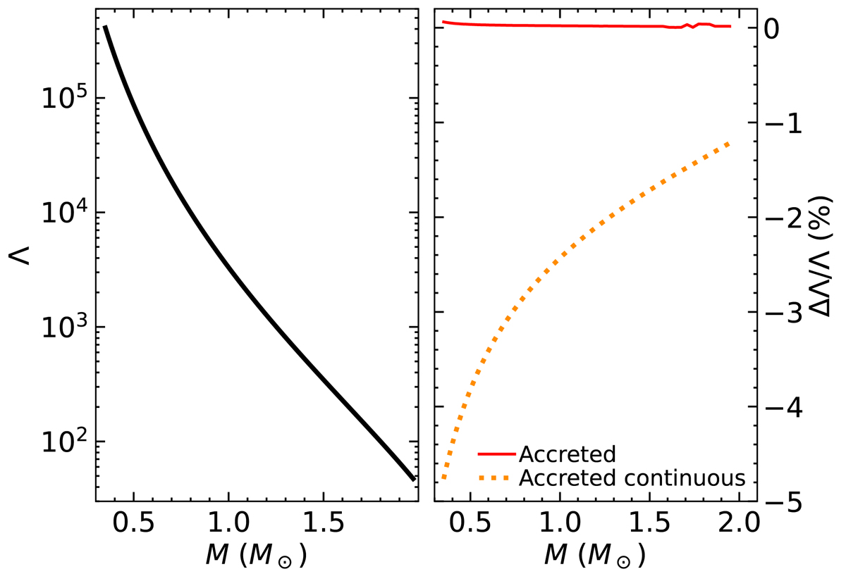
Tidal deformability of accreted NSs. Left panel: tidal deformability Λ as a function of the NS mass. Right panel: relative deviation between the value of Λ for accreted and catalyzed NSs with (solid line) and without (dotted line) a proper treatment of density discontinuities. Calculations were performed for the EoS based on the BSk21 EDF.
Current usage metrics show cumulative count of Article Views (full-text article views including HTML views, PDF and ePub downloads, according to the available data) and Abstracts Views on Vision4Press platform.
Data correspond to usage on the plateform after 2015. The current usage metrics is available 48-96 hours after online publication and is updated daily on week days.
Initial download of the metrics may take a while.