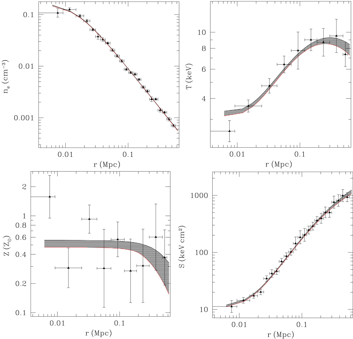
Fig. 2.

Download original image
Electron density, temperature, metallicity, and entropy parameter for the cluster as a function of physical distance from the cluster centre. The horizontal error bar describes the width of the annulus where the XSPEC model was fit. The error bars depict the 68% statistical uncertainties on the data points, while the shaded regions show those on the fit profiles.
Current usage metrics show cumulative count of Article Views (full-text article views including HTML views, PDF and ePub downloads, according to the available data) and Abstracts Views on Vision4Press platform.
Data correspond to usage on the plateform after 2015. The current usage metrics is available 48-96 hours after online publication and is updated daily on week days.
Initial download of the metrics may take a while.