Fig. 10

Download original image
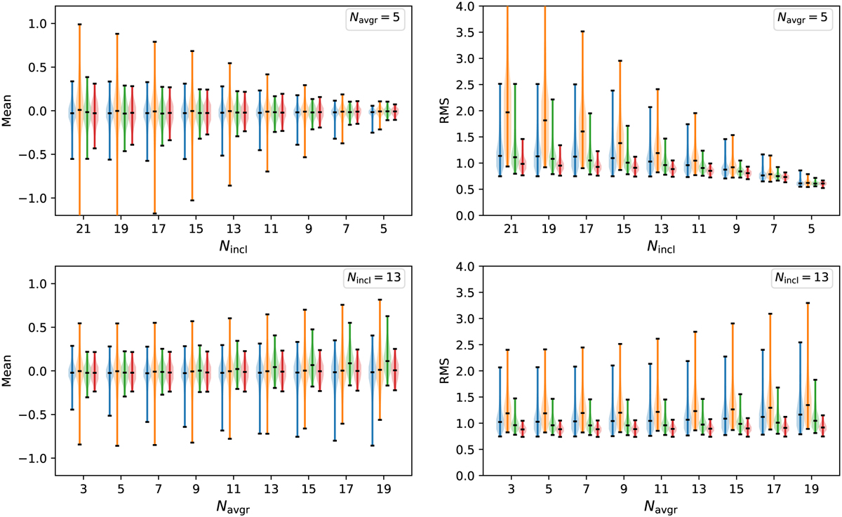
Violin plots of the mean and rms, in units of σ, of the residual maps with background modelled using the BGDLIXE algorithm for all viewing periods except the ones that include the Crab. The mean and rms are shown as a function of Nincl for Navgr = 5 in the upper row and as a function of Navgr for Nincl = 13 in the lower row. The groups of four violins correspond to the four standard energy bands; from left to right: 0.75–1 MeV (blue), 1–3 MeV (orange), 3–10 MeV (green), and 10–30 MeV (red). Horizontal black bars show the maximum, the median, and the minimum values, respectively.
Current usage metrics show cumulative count of Article Views (full-text article views including HTML views, PDF and ePub downloads, according to the available data) and Abstracts Views on Vision4Press platform.
Data correspond to usage on the plateform after 2015. The current usage metrics is available 48-96 hours after online publication and is updated daily on week days.
Initial download of the metrics may take a while.