Open Access

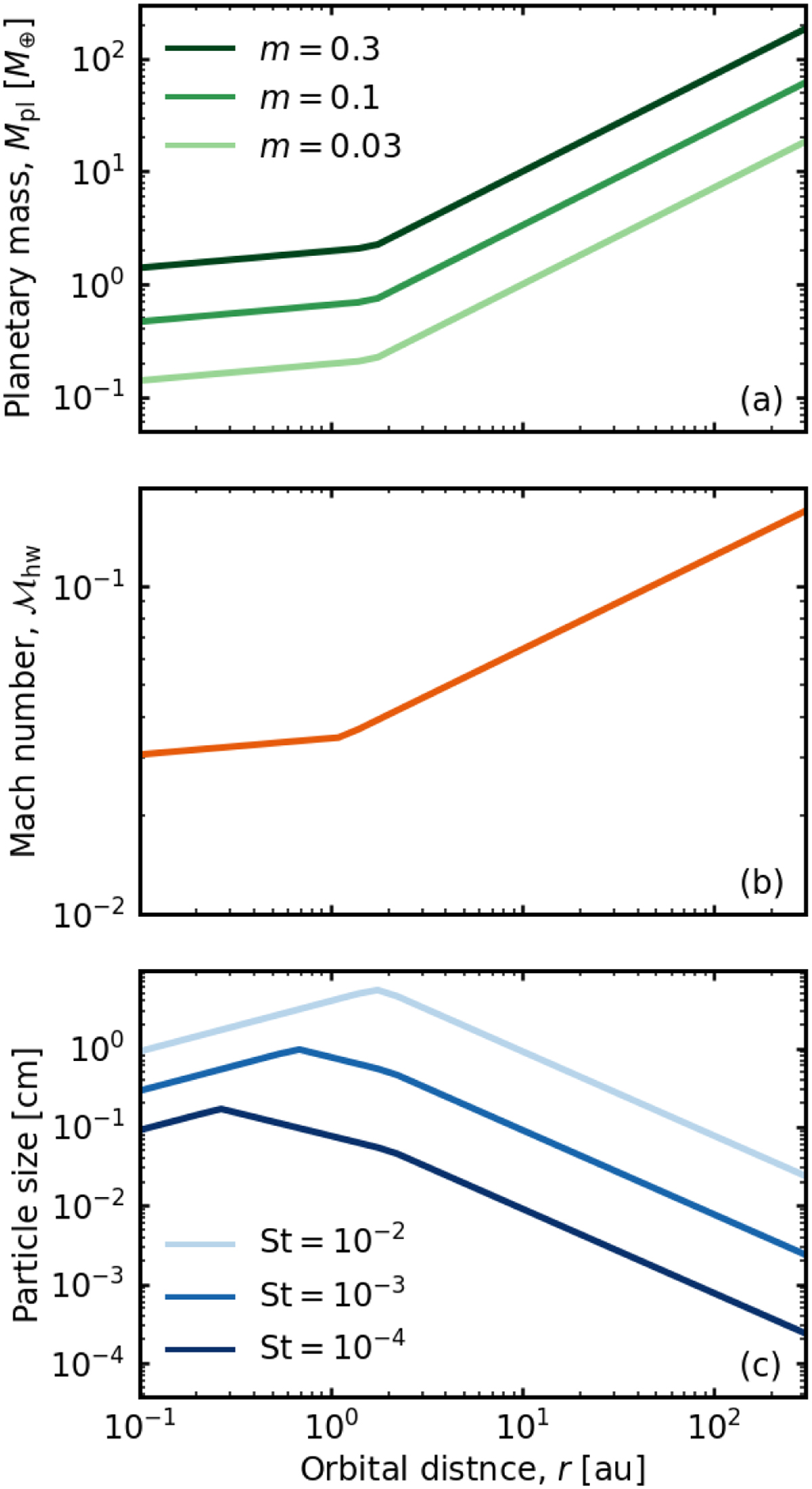
Fig. 4

image

Download original image

Relation between the dimensionless quantities and dimensional ones. Each line represents the planetary mass (top; Eq. (21)), Mach number (middle; Eq. (22)), and particle size (bottom; Eqs. (24) and (25)) as a function of the orbital radius. In panel c, we only plotted St ≤ 10−2, which is the important parameter range in this study.

Current usage metrics show cumulative count of Article Views (full-text article views including HTML views, PDF and ePub downloads, according to the available data) and Abstracts Views on Vision4Press platform.

Data correspond to usage on the plateform after 2015. The current usage metrics is available 48-96 hours after online publication and is updated daily on week days.

Initial download of the metrics may take a while.