Open Access
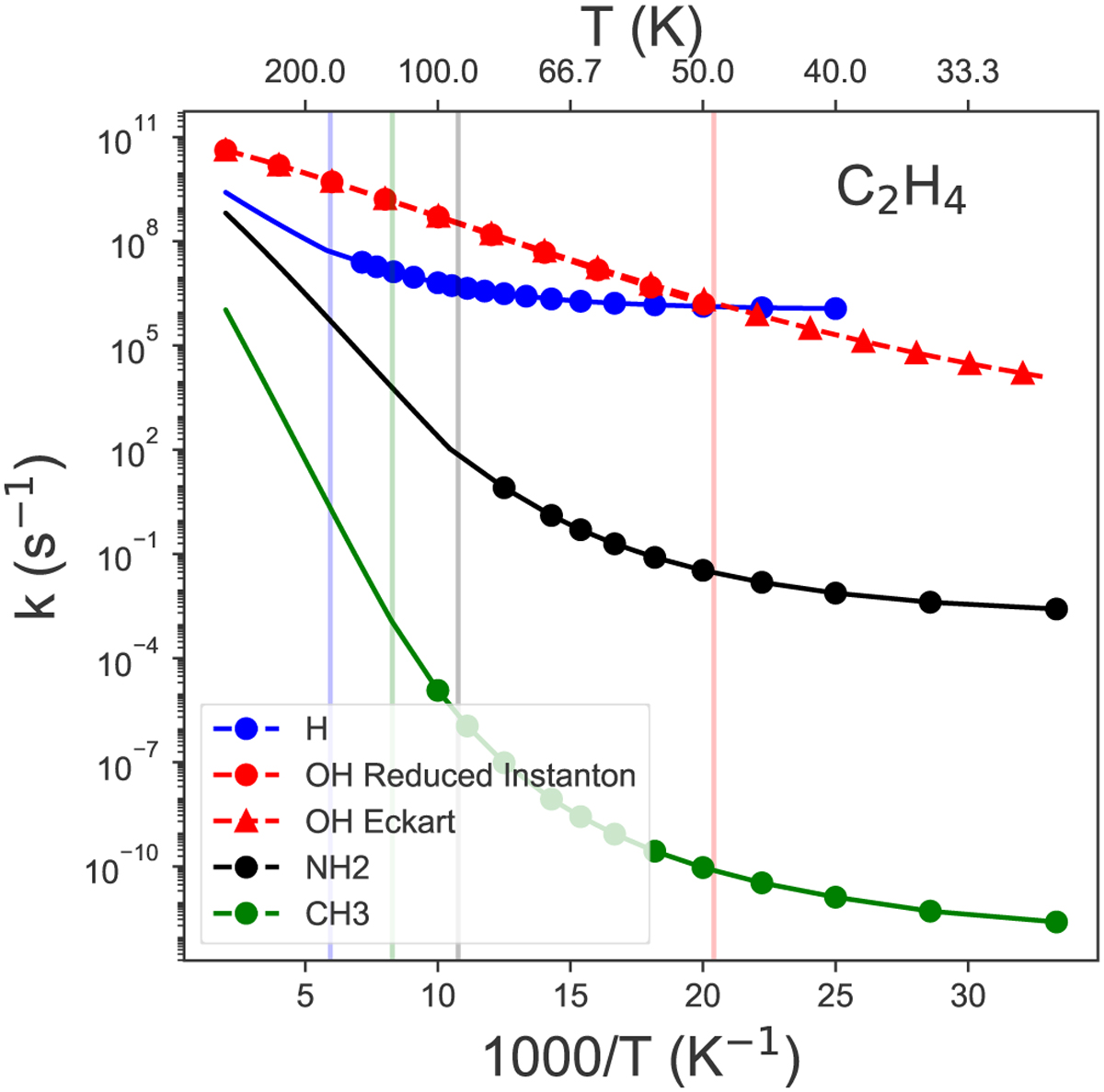
Fig. 2

Download original image
Instanton reaction rate constants (and Eckart corrected rate constants in the case of C2H4 + OH → C2H4OH) in the [500, Tmin] range, with Tmin being the lowest temperature achieved in our calculations for each particular addition reaction starting from C2H4. The vertical line represents the crossover temperature, Tc.
Current usage metrics show cumulative count of Article Views (full-text article views including HTML views, PDF and ePub downloads, according to the available data) and Abstracts Views on Vision4Press platform.
Data correspond to usage on the plateform after 2015. The current usage metrics is available 48-96 hours after online publication and is updated daily on week days.
Initial download of the metrics may take a while.