Fig. 2.

Download original image
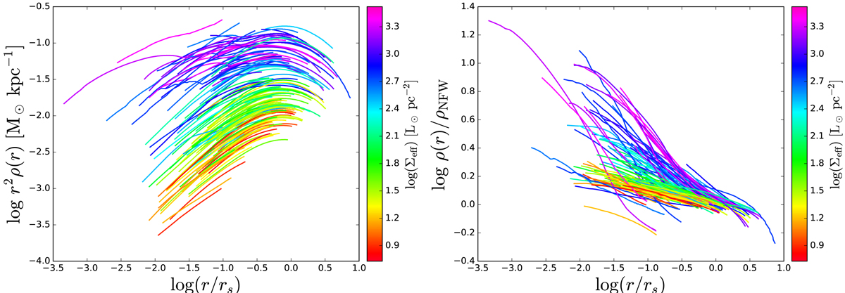
Baryonic compression on halo density profiles. Left: density profiles of compressed halos for the SPARC galaxies starting from the static NFW best-fit models. Right: density ratios of compressed to initial NFW halos. Both are color coded by effective surface brightness. High surface-brightness galaxies generally show larger density ratios, indicating more adiabatic contraction. Density ratios also increase towards the centers of galaxies where bulges can have a pronounced effect.
Current usage metrics show cumulative count of Article Views (full-text article views including HTML views, PDF and ePub downloads, according to the available data) and Abstracts Views on Vision4Press platform.
Data correspond to usage on the plateform after 2015. The current usage metrics is available 48-96 hours after online publication and is updated daily on week days.
Initial download of the metrics may take a while.