Fig. 5.

Download original image
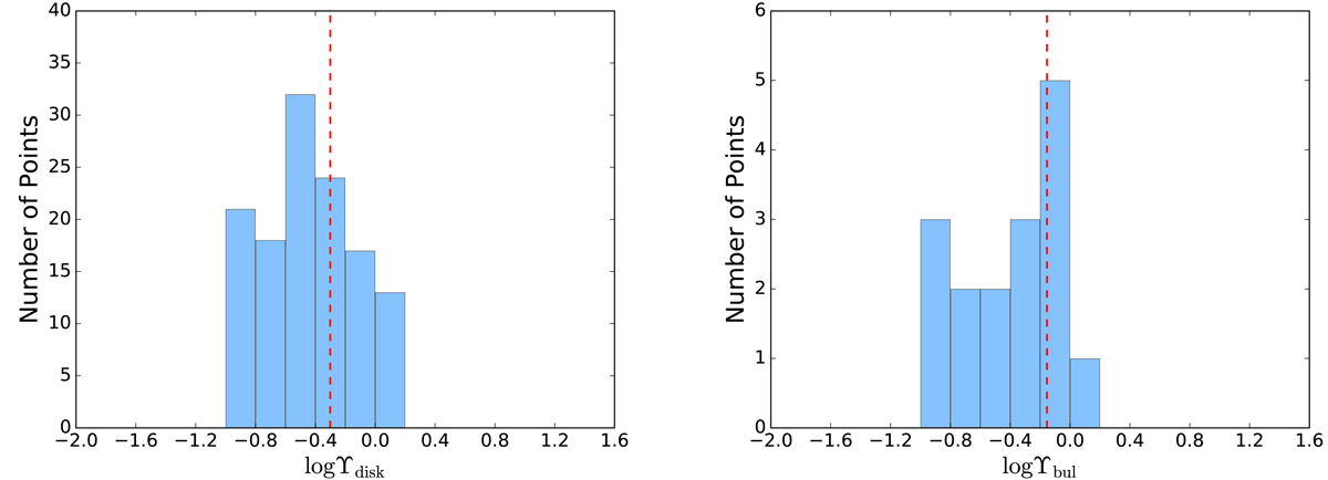
Histograms of best-fit stellar mass-to-light ratios for disks and bulges. Vertical red dashed lines indicate the fiducial values Υdisk = 0.5 and Υbulge = 0.7 from stellar population synthesis models (Schombert et al. 2019, 2022). The imposed hard boundaries are (0.1, 1.0). The best-fit stellar mass-to-light ratios spread over the whole range, but show a preference for smaller values than expected.
Current usage metrics show cumulative count of Article Views (full-text article views including HTML views, PDF and ePub downloads, according to the available data) and Abstracts Views on Vision4Press platform.
Data correspond to usage on the plateform after 2015. The current usage metrics is available 48-96 hours after online publication and is updated daily on week days.
Initial download of the metrics may take a while.