Fig. 8.

Download original image
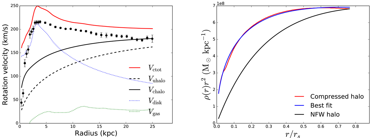
Compression on prior halos for failed galaxies. The rotation curve (left) of NGC 2903 and its DM halo density profiles (right). The green and blue lines are the gas and stellar disk contributions, respectively. The black dashed line is the ΛCDM predicted NFW halo assuming the abundance matching by Moster et al. (2013) and the halo mass–concentration relation by Dutton & Macciò (2014). The black solid line is the corresponding compressed halo. This example shows how a ΛCDM prior halo fit the data after baryonic effect is taken into account. The compressed halo shows significantly higher DM density at small radii.
Current usage metrics show cumulative count of Article Views (full-text article views including HTML views, PDF and ePub downloads, according to the available data) and Abstracts Views on Vision4Press platform.
Data correspond to usage on the plateform after 2015. The current usage metrics is available 48-96 hours after online publication and is updated daily on week days.
Initial download of the metrics may take a while.