Fig. 4.

Download original image
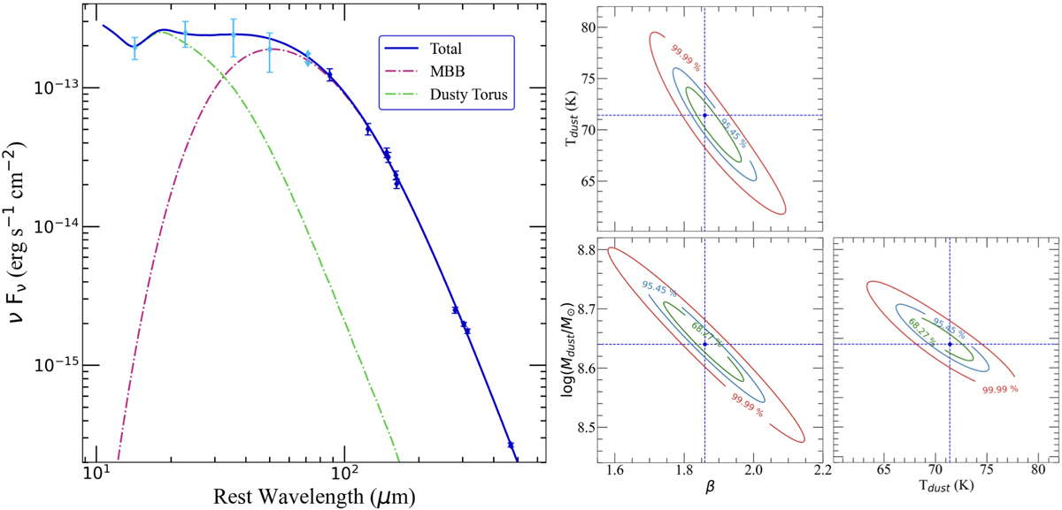
Results of the SED fitting of J2310+1855. Left panel: SED of J2310+1855 using ALMA and Herschel data reported in Table 3, fitted with an MBB function (for the dust emission) and the a = 0.0002, τ = 3, p = 0, q = 1.5, oa = 80, R = 30, and i = 20 deg dusty torus model from the SED library SKIRTOR (Stalevski et al. 2016). Dark blue diamonds are computed based on ALMA observations and light blue diamonds based on Herschel observations, as listed in Table 3. Right panel: confidence ellipses for the MBB free parameters Tdust, Mdust, and β computed at 68.27%,95.45%, and 99.99% confidence levels. The dotted blue lines indicate the best-fit parameters.
Current usage metrics show cumulative count of Article Views (full-text article views including HTML views, PDF and ePub downloads, according to the available data) and Abstracts Views on Vision4Press platform.
Data correspond to usage on the plateform after 2015. The current usage metrics is available 48-96 hours after online publication and is updated daily on week days.
Initial download of the metrics may take a while.