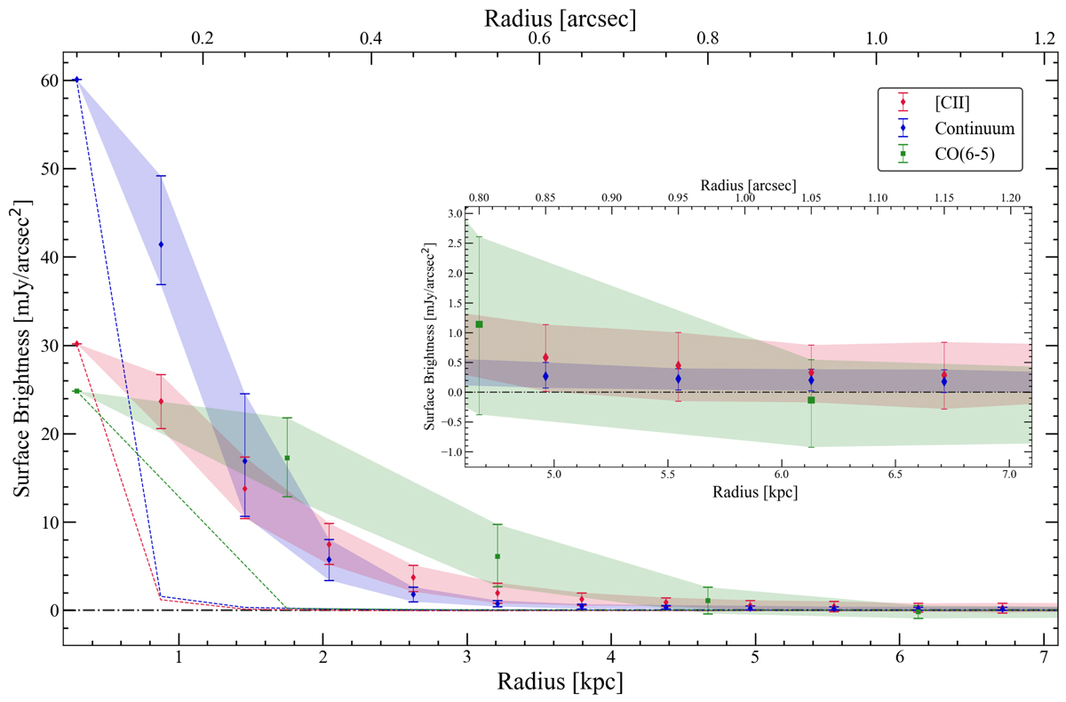
Fig. 5.

Download original image
Natural weighting surface brightness for [CII] (red), CO(6-5) (green), and continuum (blue) of J2310, normalised to the respective rms level, as a function of the radius from the peak position of the source. The lower and upper error bars are the 16th and 84th percentiles, respectively. The shadowed regions connect the uncertainties given by the percentiles. The coloured dashed lines show the synthetic beams for each observation. The dashed black lines mark the 0 level of surface brightness. The inset shows a zoomed view at large radii. The CO(6-5) data are taken from Feruglio et al. (2018) and have a clean beam of 0.6 × 0.4 arcsec2.
Current usage metrics show cumulative count of Article Views (full-text article views including HTML views, PDF and ePub downloads, according to the available data) and Abstracts Views on Vision4Press platform.
Data correspond to usage on the plateform after 2015. The current usage metrics is available 48-96 hours after online publication and is updated daily on week days.
Initial download of the metrics may take a while.