Open Access

Fig. 6.

image

Download original image

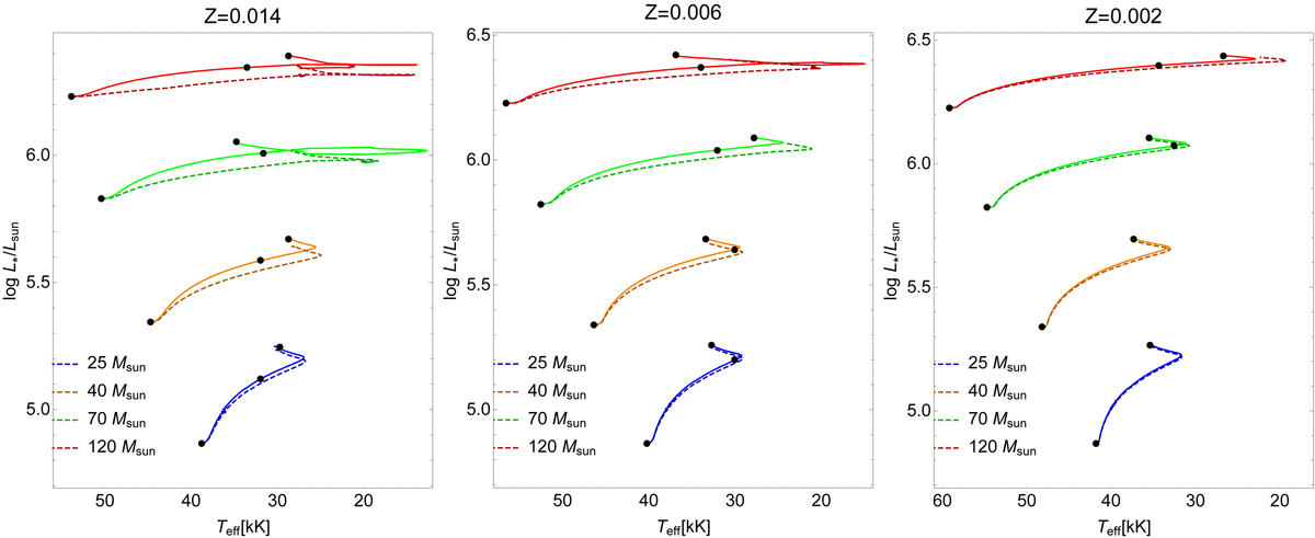
Evolutionary tracks followed across the Hertzsprung-Russell diagram for model stars without rotation, assuming the mass-loss rates given originally from Vink et al. (2000, dashed lines, i.e., classical tracks) and those sc given by the self-consistent wind solutions from Gormaz-Matamala et al. (2022, continue lines, i.e., self-consistent tracks). Black dots represent: (i) the ZAMS-point, (ii) where sc switches to Vink, and (iii) the end of the H-burning stage.

Current usage metrics show cumulative count of Article Views (full-text article views including HTML views, PDF and ePub downloads, according to the available data) and Abstracts Views on Vision4Press platform.

Data correspond to usage on the plateform after 2015. The current usage metrics is available 48-96 hours after online publication and is updated daily on week days.

Initial download of the metrics may take a while.