Fig. 10

Download original image
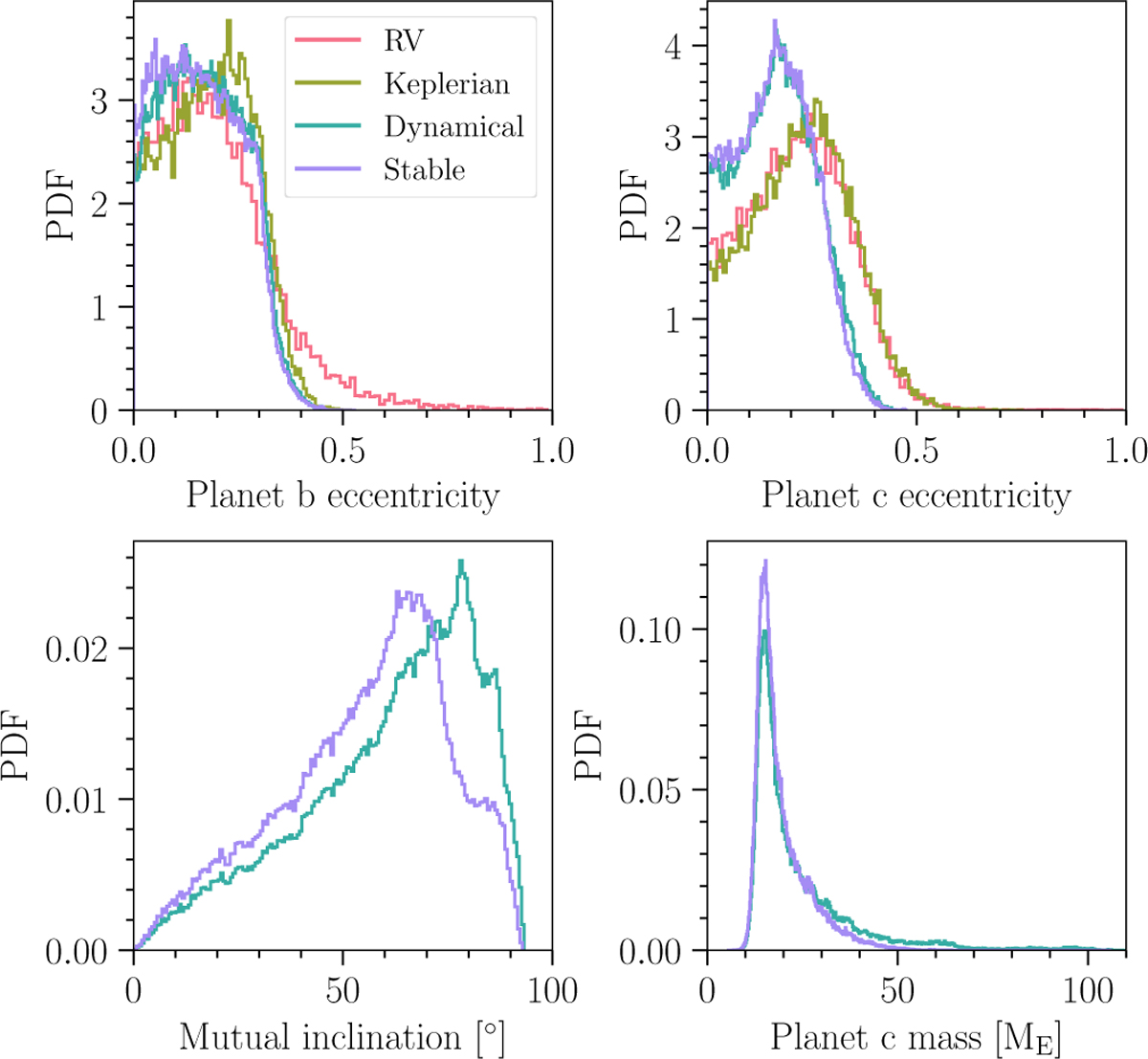
Posterior distribution comparison for the planet eccentricities, the mutual inclination between the planet orbits, and the mass of planet c before (dynamical) and after (stable) the stability constraint. For the eccentricities, the posteriors for the RV analysis (Sect. 4.1) and Keplerian modelling (Sect. 4.2) are also shown.
Current usage metrics show cumulative count of Article Views (full-text article views including HTML views, PDF and ePub downloads, according to the available data) and Abstracts Views on Vision4Press platform.
Data correspond to usage on the plateform after 2015. The current usage metrics is available 48-96 hours after online publication and is updated daily on week days.
Initial download of the metrics may take a while.