Fig. 4

Download original image
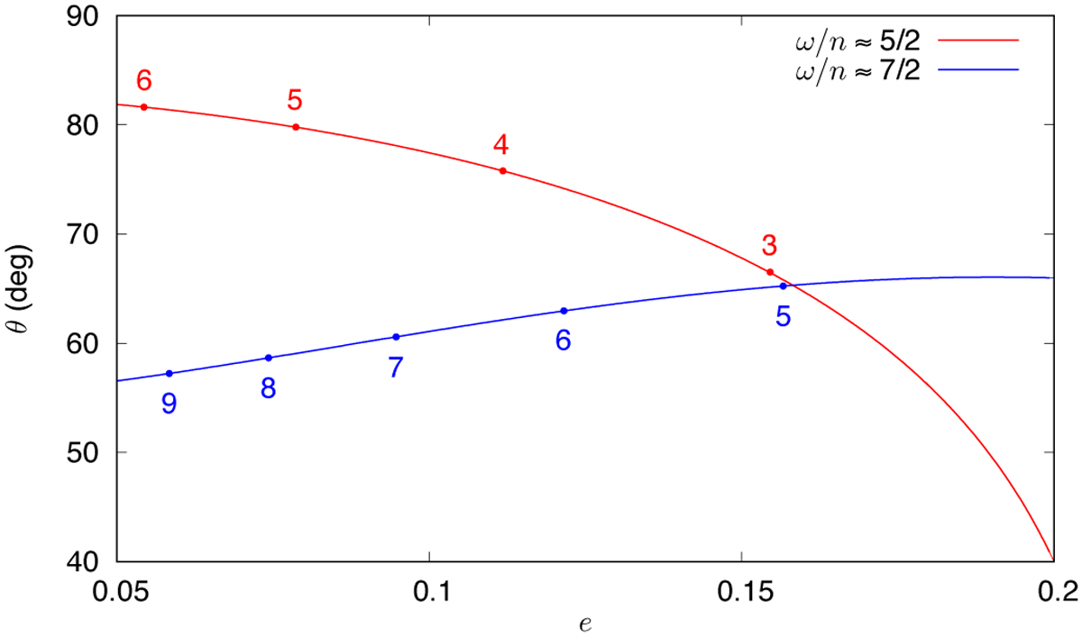
High-obliquity stable equilibria as a function of eccentricity. The dots mark the critical eccentricity for nτ = 10α, where the α-value is given next to the dot. These states are found numerically by determining the pair (ω/n, θ) that simultaneously satisfy Tq = Ts = 0 (Eqs. (12) and (13)). The Hansen coefficients are truncated at |k| ≤ 20.
Current usage metrics show cumulative count of Article Views (full-text article views including HTML views, PDF and ePub downloads, according to the available data) and Abstracts Views on Vision4Press platform.
Data correspond to usage on the plateform after 2015. The current usage metrics is available 48-96 hours after online publication and is updated daily on week days.
Initial download of the metrics may take a while.