Fig. 7

Download original image
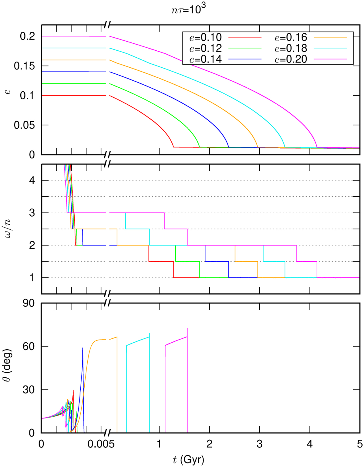
Secular evolution over time of Ross 128 b with nτ = 103 and some initial eccentricity values between 0.10 and 0.20. We show the eccentricity (top), the ω/n ratio (middle) and the obliquity (bottom). In all simulations, the initial rotation period is 24 h (ω/n = 9.86), and the initial obliquity is θ = 10º. We note the break in the timescale.
Current usage metrics show cumulative count of Article Views (full-text article views including HTML views, PDF and ePub downloads, according to the available data) and Abstracts Views on Vision4Press platform.
Data correspond to usage on the plateform after 2015. The current usage metrics is available 48-96 hours after online publication and is updated daily on week days.
Initial download of the metrics may take a while.