Fig. 7.

Download original image
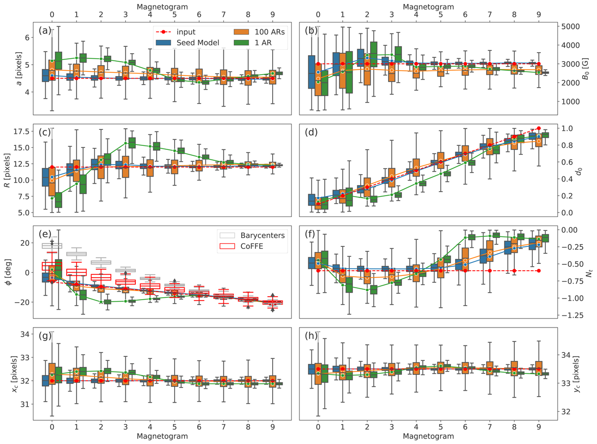
Box plots showing the evolution of sampled marginal posteriors for the parameters of the seed model (blue), 100 generated ARs (orange), and one individual AR as example (green). For the orange boxes, each marginal posterior is constructed by 200 000 samples concatenated from the 2000 samples for each of the 100 generated ARs. Each panel shows the evolution of the model parameters: (a) a, (b) B0, (c) R, (d) d0, (e) ϕ, (f) Nt, (g) xc, and (h) yc. The inference is made assuming σ = 300 G. The blue, orange, and green lines show the evolution of the corresponding marginal posterior means. The red-dashed line shows the seed model input parameters. The gray and red boxes of panel e show the evolution of the tilt angle obtained using the magnetic barycenters and CoFFE for 100 generated ARs, respectively.
Current usage metrics show cumulative count of Article Views (full-text article views including HTML views, PDF and ePub downloads, according to the available data) and Abstracts Views on Vision4Press platform.
Data correspond to usage on the plateform after 2015. The current usage metrics is available 48-96 hours after online publication and is updated daily on week days.
Initial download of the metrics may take a while.