Fig. 1.

Download original image
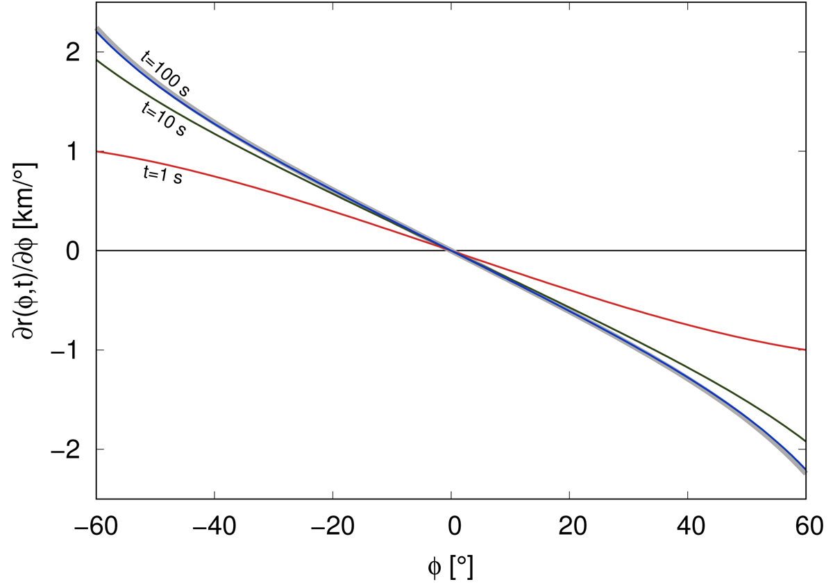
Time evolution of the function. The thick grey line shows the asymptotic curve (Eq. (10)), and the red, green, and blue lines show the curve from Eq. (9) at various time instants shown on the plot. All parameters are equal to one, except for the half-width, ω = 60°, and initial speed, v0 = 2 km s−1, representing a CME travelling faster than the solar wind.
Current usage metrics show cumulative count of Article Views (full-text article views including HTML views, PDF and ePub downloads, according to the available data) and Abstracts Views on Vision4Press platform.
Data correspond to usage on the plateform after 2015. The current usage metrics is available 48-96 hours after online publication and is updated daily on week days.
Initial download of the metrics may take a while.