Fig. 4.

Download original image
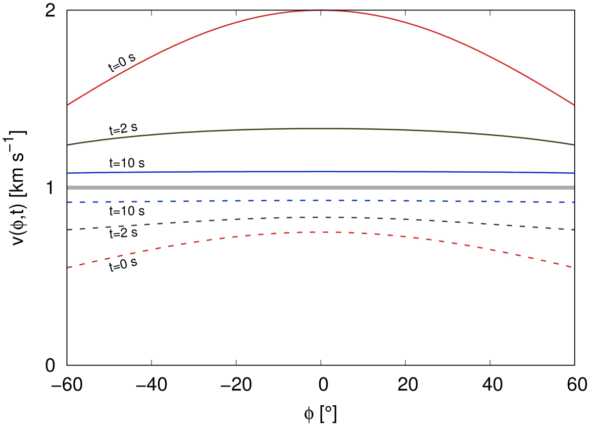
Asymptotic behaviour of the velocity profile, v(ϕ, t). The thick solid grey line represents the solar wind speed, w, and the asymptotic profile of v(ϕ, t). Two models for three instants in time are shown with red, green, and blue curves. The model with a higher initial speed than the solar wind speed is shown with three solid coloured curves above the grey asymptotic line, and the curves of the model with v0 = 0.75 km s−1 < w are shown with dashed lines below the grey line.
Current usage metrics show cumulative count of Article Views (full-text article views including HTML views, PDF and ePub downloads, according to the available data) and Abstracts Views on Vision4Press platform.
Data correspond to usage on the plateform after 2015. The current usage metrics is available 48-96 hours after online publication and is updated daily on week days.
Initial download of the metrics may take a while.