Fig. 5.

Download original image
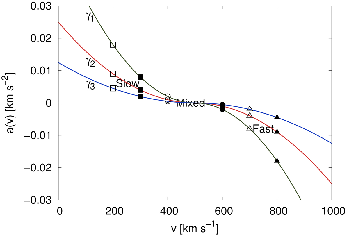
a(v) relation shown with solid lines for γ1 = 2 × 10−7 km−1, γ2 = 1 × 10−7 km−1, and γ3 = 0.5 × 10−7 km−1. The initial locations of apexes and flanks for three classes of CMEs are plotted as well (squares: slow CME; circles: mixed CME; triangles: fast CME). Flanks are always shown with empty symbols, and their corresponding apexes are plotted with filled symbols of the same type.
Current usage metrics show cumulative count of Article Views (full-text article views including HTML views, PDF and ePub downloads, according to the available data) and Abstracts Views on Vision4Press platform.
Data correspond to usage on the plateform after 2015. The current usage metrics is available 48-96 hours after online publication and is updated daily on week days.
Initial download of the metrics may take a while.