Fig. 1.

Download original image
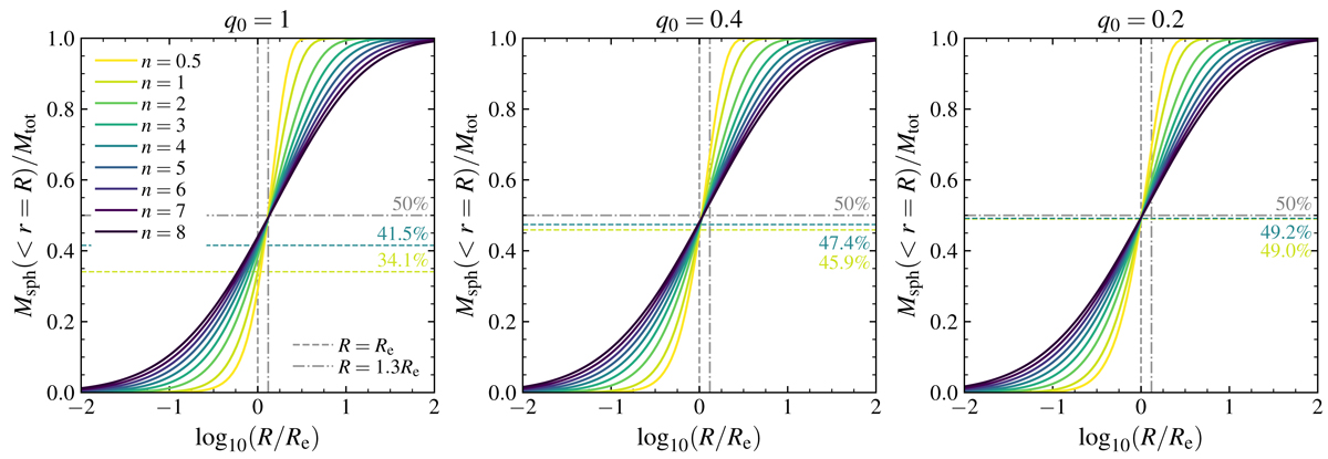
Fractional mass enclosed within a sphere of radius r = R for deprojected Sérsic models of different intrinsic axis ratios. From left to right: enclosed Msph is plotted as a function of log radius (relative to the projected 2D effective radius, Re), assuming intrinsic axis ratios of q0 = 1, 0.4, 0.2, respectively. The colored curves denote the enclosed mass profiles for Sérsic indices from n = 0.5 to n = 8 (yellow to purple). The vertical lines denote R = Re (grey dashed) and R = 1.3Re (≈r1/2, mass, 3D for q0 = 1; grey dash-dotted), and the horizontal colored lines denote the fraction of the mass enclosed within r = Re for n = 1, 4 (lime, teal dashed, respectively) and 50% of the total mass (grey dashed dotted). For q0 = 1, the half-mass 3D spherical radius is indeed r1/2, mass, 3D ≈ 1.3Re regardless of n, as in Ciotti (1991). For flattened (i.e., oblate) systems, the half-mass 3D spherical radius is smaller, and approaches Re as q0 decreases. See also Fig. 2.
Current usage metrics show cumulative count of Article Views (full-text article views including HTML views, PDF and ePub downloads, according to the available data) and Abstracts Views on Vision4Press platform.
Data correspond to usage on the plateform after 2015. The current usage metrics is available 48-96 hours after online publication and is updated daily on week days.
Initial download of the metrics may take a while.