Fig. 2.

Download original image
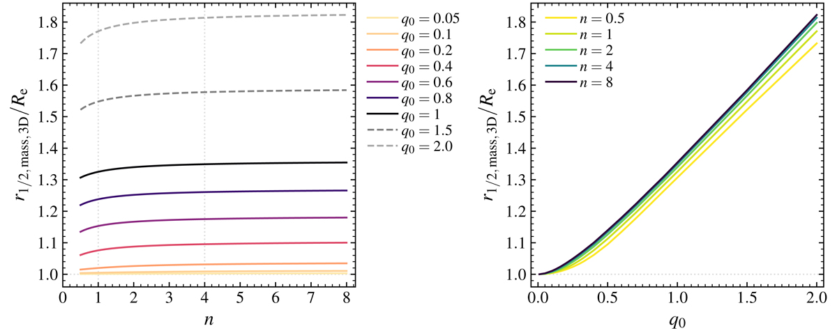
Comparison between the 3D spherical half-mass radius, r1/2, mass, 3D, and the projected 2D effective radius, Re, for a range of Sérsic indices n and intrinsic axis ratios q0 (left, colored by q0; right, colored by n). For oblate cases, Re is the projected major axis, while for prolate cases Re is the projected minor axis. For all cases, r1/2, mass, 3D > Re. However, as q0 decreases (i.e., flatter Sérsic distributions), the 3D half-mass radius approaches the value of Re. Overall, the systematic difference between r1/2, mass, 3D and Re highlights that while half of the model mass is enclosed within a projected 2D ellipse of major axis Re (e.g., an infinite ellipsoidal cylinder), less than half the total mass is enclosed within a sphere of radius Re (ignoring any M/L gradients or optically thick regions, which would change Re, light/Re, mass).
Current usage metrics show cumulative count of Article Views (full-text article views including HTML views, PDF and ePub downloads, according to the available data) and Abstracts Views on Vision4Press platform.
Data correspond to usage on the plateform after 2015. The current usage metrics is available 48-96 hours after online publication and is updated daily on week days.
Initial download of the metrics may take a while.