Open Access
Fig. 4.

Download original image
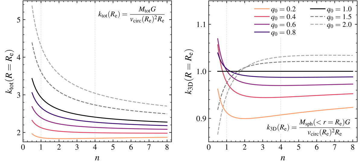
Total ktot(Re) (left) and 3D enclosed k3D(Re) (right) virial coefficients as a function of Sérsic index, n, and intrinsic axis ratio q0. The solid lines denote q0 = 0.2 (orange) to q0 = 1 (black) and two prolate cases are shown with dashed lines (q0 = 1.5, 2 in dark, light grey, respectively).
Current usage metrics show cumulative count of Article Views (full-text article views including HTML views, PDF and ePub downloads, according to the available data) and Abstracts Views on Vision4Press platform.
Data correspond to usage on the plateform after 2015. The current usage metrics is available 48-96 hours after online publication and is updated daily on week days.
Initial download of the metrics may take a while.