Fig. 6

Download original image
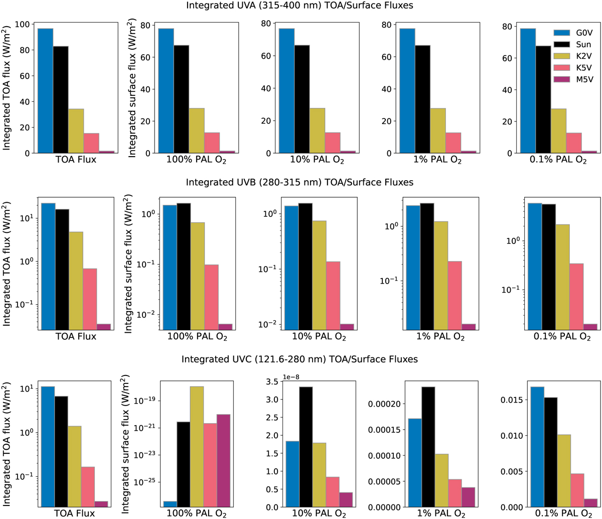
Top-of-the atmosphere (TOA) and surface fluxes for UVA (top), UVB (middle), and UVC (bottom) wavelengths for 100%, 10%, 1%, and 0.1% PAL O2 model atmospheres for all stellar hosts. We note the differences in y-axis scale for different subplots. UVA flux is only slightly shielded by O3 so surface fluxes scale roughly with TOA fluxes. UVB flux is partially shielded by O3 and therefore allows the GOV-hosted models to receive less surface UVB than Sun-hosted models despite higher TOA UVB due to more efficient O3 production. UVC surface fluxes for high O2 levels are strongly influenced by O3 abundance due to strong UV shielding from O3 in this wavelength range. For models with only 0.1% PAL O2 levels all surface UV fluxes begin to converge to TOA values as the shielding of O3 is significantly decreased. See Sect. 4.4 for full details.
Current usage metrics show cumulative count of Article Views (full-text article views including HTML views, PDF and ePub downloads, according to the available data) and Abstracts Views on Vision4Press platform.
Data correspond to usage on the plateform after 2015. The current usage metrics is available 48-96 hours after online publication and is updated daily on week days.
Initial download of the metrics may take a while.